
Get the free Definition of EBP and submission form - dsamh utah
Show details
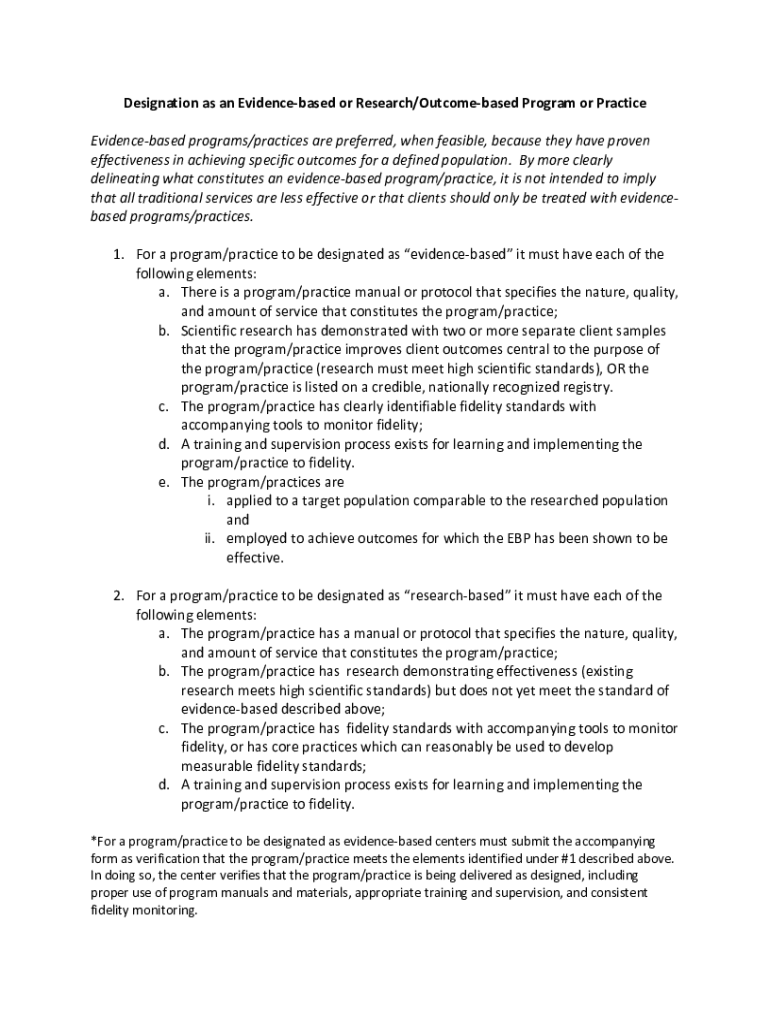
DesignationasanEvidencebasedorResearch/OutcomebasedProgramorPractice Evidencebasedprograms/practicesarepreferred, when feasible, becausetheyhaveproven effectivenessinachievingspecificoutcomesforadefinedpopulation.
We are not affiliated with any brand or entity on this form
Get, Create, Make and Sign definition of ebp and

Edit your definition of ebp and form online
Type text, complete fillable fields, insert images, highlight or blackout data for discretion, add comments, and more.

Add your legally-binding signature
Draw or type your signature, upload a signature image, or capture it with your digital camera.

Share your form instantly
Email, fax, or share your definition of ebp and form via URL. You can also download, print, or export forms to your preferred cloud storage service.
Editing definition of ebp and online
To use our professional PDF editor, follow these steps:
1
Set up an account. If you are a new user, click Start Free Trial and establish a profile.
2
Upload a file. Select Add New on your Dashboard and upload a file from your device or import it from the cloud, online, or internal mail. Then click Edit.
3
Edit definition of ebp and. Rearrange and rotate pages, add and edit text, and use additional tools. To save changes and return to your Dashboard, click Done. The Documents tab allows you to merge, divide, lock, or unlock files.
4
Get your file. When you find your file in the docs list, click on its name and choose how you want to save it. To get the PDF, you can save it, send an email with it, or move it to the cloud.
With pdfFiller, it's always easy to work with documents.
Uncompromising security for your PDF editing and eSignature needs
Your private information is safe with pdfFiller. We employ end-to-end encryption, secure cloud storage, and advanced access control to protect your documents and maintain regulatory compliance.
How to fill out definition of ebp and

How to fill out definition of ebp and
01
Start by identifying the key components of the evidence-based practice (EBP) definition, which typically include evidence, clinical expertise, and patient values.
02
Define evidence by explaining that it refers to the best available research evidence, which comes from systematic reviews, randomized controlled trials, and other high-quality studies.
03
Describe clinical expertise as the individual's ability to use their professional knowledge and skills to make judgments and decisions regarding patient care.
04
Explain that patient values are the unique preferences, concerns, and expectations that each patient brings to their healthcare decisions.
05
Combine these components to provide a comprehensive definition of EBP, such as 'Evidence-based practice is the integration of the best available research evidence, clinical expertise, and patient values to inform clinical decision-making and improve patient outcomes.'
06
Emphasize the importance of using EBP in healthcare settings to ensure optimal patient care and outcomes.
07
Encourage healthcare professionals to stay updated with current research evidence, enhance their clinical expertise, and actively involve patients in decision-making processes to fully embrace EBP.
Who needs definition of ebp and?
01
Healthcare professionals from various disciplines, such as physicians, nurses, pharmacists, and therapists, need a clear understanding of the definition of EBP to provide high-quality care.
02
Students pursuing degrees or training in healthcare-related fields need to learn about EBP definition to integrate it into their future practice.
03
Healthcare administrators and policymakers require knowledge of the definition of EBP to support its implementation and ensure evidence-based approaches are followed in healthcare organizations.
04
Patients and their families can benefit from understanding the definition of EBP as it empowers them to actively participate in decision-making and advocate for evidence-based care.
05
Researchers and scholars who conduct studies and contribute to the evidence base need to be aware of the EBP definition to align their work with the principles of EBP.
Fill
form
: Try Risk Free
For pdfFiller’s FAQs
Below is a list of the most common customer questions. If you can’t find an answer to your question, please don’t hesitate to reach out to us.
How do I make edits in definition of ebp and without leaving Chrome?
definition of ebp and can be edited, filled out, and signed with the pdfFiller Google Chrome Extension. You can open the editor right from a Google search page with just one click. Fillable documents can be done on any web-connected device without leaving Chrome.
How do I fill out definition of ebp and using my mobile device?
You can easily create and fill out legal forms with the help of the pdfFiller mobile app. Complete and sign definition of ebp and and other documents on your mobile device using the application. Visit pdfFiller’s webpage to learn more about the functionalities of the PDF editor.
How do I complete definition of ebp and on an Android device?
Use the pdfFiller app for Android to finish your definition of ebp and. The application lets you do all the things you need to do with documents, like add, edit, and remove text, sign, annotate, and more. There is nothing else you need except your smartphone and an internet connection to do this.
What is definition of ebp and?
EBP stands for 'Employee Benefit Plan'. It refers to a plan or program established by an employer to provide benefits such as health insurance, retirement plans, or other forms of compensation to employees.
Who is required to file definition of ebp and?
Employers that have designated employee benefit plans, especially those with 100 or more participants, are generally required to file reports related to their employee benefit plans.
How to fill out definition of ebp and?
Filling out an EBP filing typically requires employers to gather relevant information about the plan, including financial disclosures, participant information, and compliance with regulations. Specific forms and guidelines can be found through the Department of Labor.
What is the purpose of definition of ebp and?
The purpose of an EBP is to outline the benefits provided to employees, ensure compliance with federal regulations, and provide necessary information to participants about their entitlements and the financial status of the plan.
What information must be reported on definition of ebp and?
Key information includes the type of benefits provided, financial statements, participant demographics, compliance with ERISA, and any discrepancies or issues within the plan.
Fill out your definition of ebp and online with pdfFiller!
pdfFiller is an end-to-end solution for managing, creating, and editing documents and forms in the cloud. Save time and hassle by preparing your tax forms online.

Definition Of Ebp And is not the form you're looking for?Search for another form here.
Relevant keywords
Related Forms
If you believe that this page should be taken down, please follow our DMCA take down process
here
.
This form may include fields for payment information. Data entered in these fields is not covered by PCI DSS compliance.