Get the free Proposed Revisions to Emergency Regulation Section 5141.1 ...
Show details
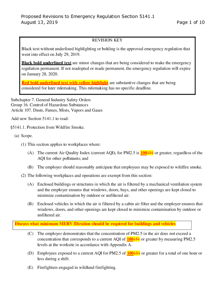
Proposed Revisions to Emergency Regulation Section 5141.1
August 13, 2019Page 1 of 10REVISION KEY
Black text without underlined highlighting or bolding is the approved emergency regulation that
went
We are not affiliated with any brand or entity on this form
Get, Create, Make and Sign proposed revisions to emergency
Edit your proposed revisions to emergency form online
Type text, complete fillable fields, insert images, highlight or blackout data for discretion, add comments, and more.
Add your legally-binding signature
Draw or type your signature, upload a signature image, or capture it with your digital camera.
Share your form instantly
Email, fax, or share your proposed revisions to emergency form via URL. You can also download, print, or export forms to your preferred cloud storage service.
How to edit proposed revisions to emergency online
Use the instructions below to start using our professional PDF editor:
1
Log in. Click Start Free Trial and create a profile if necessary.
2
Prepare a file. Use the Add New button to start a new project. Then, using your device, upload your file to the system by importing it from internal mail, the cloud, or adding its URL.
3
Edit proposed revisions to emergency. Replace text, adding objects, rearranging pages, and more. Then select the Documents tab to combine, divide, lock or unlock the file.
4
Get your file. Select the name of your file in the docs list and choose your preferred exporting method. You can download it as a PDF, save it in another format, send it by email, or transfer it to the cloud.
With pdfFiller, it's always easy to work with documents. Check it out!
Uncompromising security for your PDF editing and eSignature needs
Your private information is safe with pdfFiller. We employ end-to-end encryption, secure cloud storage, and advanced access control to protect your documents and maintain regulatory compliance.
How to fill out proposed revisions to emergency
How to fill out proposed revisions to emergency
01
To fill out proposed revisions to emergency, follow these steps:
02
Review the current emergency plan to understand the existing measures.
03
Identify the areas or aspects that need revision based on new information or feedback.
04
Analyze the proposed revisions carefully and assess their potential impact on emergency response.
05
Consult with relevant stakeholders or an emergency response team to gather input and insights.
06
Use a systematic approach such as bullet points or numbered lists to present the revisions.
07
Clearly explain the rationale behind each proposed revision to ensure understanding.
08
Ensure that the language used is concise, clear, and easily comprehensible by all stakeholders.
09
Provide concrete examples or scenarios to illustrate the potential benefits of the proposed revisions.
10
Review the revised emergency plan thoroughly for any inconsistencies or gaps.
11
Seek feedback and input from experts or professionals in emergency management.
12
Incorporate the necessary changes based on feedback and finalize the proposed revisions.
13
Communicate the proposed revisions to the relevant authorities or decision-makers for approval.
14
Follow any specific guidelines or procedures outlined by the authorities for submitting the revisions.
15
Submit the proposed revisions along with supporting documentation or evidence, if required.
16
Keep a record of the submitted revisions for future reference or auditing purposes.
Who needs proposed revisions to emergency?
01
Proposed revisions to emergency are needed by:
02
- Emergency management agencies or organizations responsible for developing and updating emergency plans.
03
- Local, regional, or national governments tasked with ensuring public safety during emergencies.
04
- Emergency response teams or personnel who need to be aware of the latest changes in emergency protocols.
05
- Community leaders or organizations involved in disaster preparedness and response.
06
- Businesses or industries that have their own emergency plans and need to align with regulatory requirements.
07
- Educational institutions, healthcare facilities, and other critical infrastructure providers.
08
- Citizens or residents who want to stay informed about the latest revisions to emergency plans.
Fill
form
: Try Risk Free
For pdfFiller’s FAQs
Below is a list of the most common customer questions. If you can’t find an answer to your question, please don’t hesitate to reach out to us.
Where do I find proposed revisions to emergency?
It's simple using pdfFiller, an online document management tool. Use our huge online form collection (over 25M fillable forms) to quickly discover the proposed revisions to emergency. Open it immediately and start altering it with sophisticated capabilities.
How do I complete proposed revisions to emergency online?
pdfFiller has made it simple to fill out and eSign proposed revisions to emergency. The application has capabilities that allow you to modify and rearrange PDF content, add fillable fields, and eSign the document. Begin a free trial to discover all of the features of pdfFiller, the best document editing solution.
Can I sign the proposed revisions to emergency electronically in Chrome?
Yes. With pdfFiller for Chrome, you can eSign documents and utilize the PDF editor all in one spot. Create a legally enforceable eSignature by sketching, typing, or uploading a handwritten signature image. You may eSign your proposed revisions to emergency in seconds.
What is proposed revisions to emergency?
Proposed revisions to emergency refer to changes or updates made to existing emergency protocols or regulations to enhance safety, response efficiency, or address new situations.
Who is required to file proposed revisions to emergency?
Generally, entities such as government agencies, organizations, or facilities that handle emergencies or are affected by emergency protocols are required to file proposed revisions.
How to fill out proposed revisions to emergency?
Filling out proposed revisions typically involves completing a specific form provided by the relevant authority, detailing the changes, justifications, and any supporting documentation required.
What is the purpose of proposed revisions to emergency?
The purpose of proposed revisions to emergency is to ensure that emergency plans and responses are current, effective, and capable of addressing emerging threats or changes in circumstances.
What information must be reported on proposed revisions to emergency?
Information that must be reported includes the nature of the revisions, reasons for the changes, affected stakeholders, and any anticipated impacts on emergency management.
Fill out your proposed revisions to emergency online with pdfFiller!
pdfFiller is an end-to-end solution for managing, creating, and editing documents and forms in the cloud. Save time and hassle by preparing your tax forms online.
Proposed Revisions To Emergency is not the form you're looking for?Search for another form here.
Relevant keywords
Related Forms
If you believe that this page should be taken down, please follow our DMCA take down process
here
.
This form may include fields for payment information. Data entered in these fields is not covered by PCI DSS compliance.