
Get the free Academic Policies and Procedures - Bowie State University ...
Show details
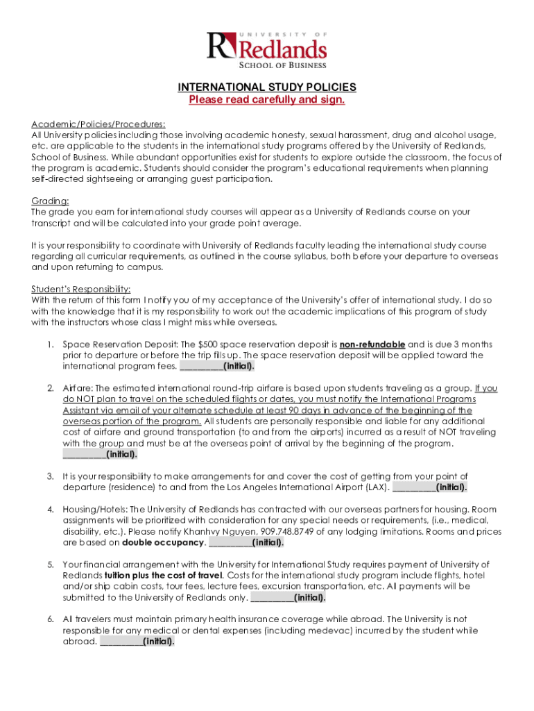
INTERNATIONAL STUDY POLICIES
Please read carefully and sign.
Academic/Policies/Procedures:
All University policies including those involving academic honesty, sexual harassment, drug and alcohol usage,
etc.
We are not affiliated with any brand or entity on this form
Get, Create, Make and Sign academic policies and procedures

Edit your academic policies and procedures form online
Type text, complete fillable fields, insert images, highlight or blackout data for discretion, add comments, and more.

Add your legally-binding signature
Draw or type your signature, upload a signature image, or capture it with your digital camera.

Share your form instantly
Email, fax, or share your academic policies and procedures form via URL. You can also download, print, or export forms to your preferred cloud storage service.
How to edit academic policies and procedures online
Follow the steps down below to take advantage of the professional PDF editor:
1
Set up an account. If you are a new user, click Start Free Trial and establish a profile.
2
Prepare a file. Use the Add New button to start a new project. Then, using your device, upload your file to the system by importing it from internal mail, the cloud, or adding its URL.
3
Edit academic policies and procedures. Rearrange and rotate pages, add and edit text, and use additional tools. To save changes and return to your Dashboard, click Done. The Documents tab allows you to merge, divide, lock, or unlock files.
4
Save your file. Choose it from the list of records. Then, shift the pointer to the right toolbar and select one of the several exporting methods: save it in multiple formats, download it as a PDF, email it, or save it to the cloud.
pdfFiller makes working with documents easier than you could ever imagine. Try it for yourself by creating an account!
Uncompromising security for your PDF editing and eSignature needs
Your private information is safe with pdfFiller. We employ end-to-end encryption, secure cloud storage, and advanced access control to protect your documents and maintain regulatory compliance.
How to fill out academic policies and procedures

How to fill out academic policies and procedures
01
Read the academic policies and procedures document thoroughly.
02
Familiarize yourself with the different sections and sub-sections of the document.
03
Start filling out the policies and procedures form by providing your personal information such as name, student ID, and contact details.
04
Follow the instructions provided in the document to complete each section.
05
Pay attention to any specific requirements or documentation that needs to be attached.
06
Double-check your answers to ensure accuracy and completeness.
07
Sign and date the form to acknowledge that you have read and understood the policies and procedures.
08
Submit the filled-out form to the designated department or person responsible for handling academic policies and procedures.
Who needs academic policies and procedures?
01
Academic policies and procedures are needed by students, faculty members, and staff of educational institutions.
02
Students need academic policies and procedures to understand the rules, regulations, and guidelines that govern their academic journey.
03
Faculty members need academic policies and procedures to ensure fair and consistent evaluation and grading of students.
04
Staff members need academic policies and procedures to provide accurate information and support to students and faculty members.
05
Educational institutions also need academic policies and procedures to maintain organizational structure and ensure compliance with external regulations and accrediting bodies.
Fill
form
: Try Risk Free
For pdfFiller’s FAQs
Below is a list of the most common customer questions. If you can’t find an answer to your question, please don’t hesitate to reach out to us.
How can I manage my academic policies and procedures directly from Gmail?
academic policies and procedures and other documents can be changed, filled out, and signed right in your Gmail inbox. You can use pdfFiller's add-on to do this, as well as other things. When you go to Google Workspace, you can find pdfFiller for Gmail. You should use the time you spend dealing with your documents and eSignatures for more important things, like going to the gym or going to the dentist.
Can I create an electronic signature for the academic policies and procedures in Chrome?
You can. With pdfFiller, you get a strong e-signature solution built right into your Chrome browser. Using our addon, you may produce a legally enforceable eSignature by typing, sketching, or photographing it. Choose your preferred method and eSign in minutes.
Can I create an electronic signature for signing my academic policies and procedures in Gmail?
Upload, type, or draw a signature in Gmail with the help of pdfFiller’s add-on. pdfFiller enables you to eSign your academic policies and procedures and other documents right in your inbox. Register your account in order to save signed documents and your personal signatures.
What is academic policies and procedures?
Academic policies and procedures are formal guidelines and regulations established by educational institutions to govern academic operations, including grading, attendance, and conduct.
Who is required to file academic policies and procedures?
Typically, faculty members, academic departments, and administrative staff are required to file academic policies and procedures.
How to fill out academic policies and procedures?
To fill out academic policies and procedures, one must follow the institution's specific guidelines and templates, provide clear and concise descriptions, and ensure compliance with relevant standards.
What is the purpose of academic policies and procedures?
The purpose of academic policies and procedures is to promote fairness, consistency, and transparency in academic practices and to provide a framework for decision-making.
What information must be reported on academic policies and procedures?
Information that must be reported includes the policy's scope, purpose, implementation guidelines, and any relevant compliance requirements.
Fill out your academic policies and procedures online with pdfFiller!
pdfFiller is an end-to-end solution for managing, creating, and editing documents and forms in the cloud. Save time and hassle by preparing your tax forms online.

Academic Policies And Procedures is not the form you're looking for?Search for another form here.
Relevant keywords
Related Forms
If you believe that this page should be taken down, please follow our DMCA take down process
here
.
This form may include fields for payment information. Data entered in these fields is not covered by PCI DSS compliance.