Get the free SAMPLE POUROVER WILL LAST WILL AND TESTAMENT OF NAME OF ...
Show details
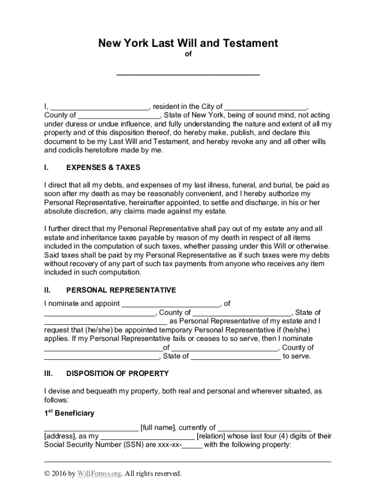
New York Last Will and Testament of I, resident in the City of, County of, State of New York, being of sound mind, not acting under duress or undue influence, and fully understanding the nature and
We are not affiliated with any brand or entity on this form
Get, Create, Make and Sign sample pourover will last
Edit your sample pourover will last form online
Type text, complete fillable fields, insert images, highlight or blackout data for discretion, add comments, and more.
Add your legally-binding signature
Draw or type your signature, upload a signature image, or capture it with your digital camera.
Share your form instantly
Email, fax, or share your sample pourover will last form via URL. You can also download, print, or export forms to your preferred cloud storage service.
Editing sample pourover will last online
To use our professional PDF editor, follow these steps:
1
Create an account. Begin by choosing Start Free Trial and, if you are a new user, establish a profile.
2
Upload a document. Select Add New on your Dashboard and transfer a file into the system in one of the following ways: by uploading it from your device or importing from the cloud, web, or internal mail. Then, click Start editing.
3
Edit sample pourover will last. Rearrange and rotate pages, add new and changed texts, add new objects, and use other useful tools. When you're done, click Done. You can use the Documents tab to merge, split, lock, or unlock your files.
4
Get your file. Select your file from the documents list and pick your export method. You may save it as a PDF, email it, or upload it to the cloud.
With pdfFiller, it's always easy to work with documents.
Uncompromising security for your PDF editing and eSignature needs
Your private information is safe with pdfFiller. We employ end-to-end encryption, secure cloud storage, and advanced access control to protect your documents and maintain regulatory compliance.
How to fill out sample pourover will last
How to fill out sample pourover will last
01
Start by obtaining the necessary documents for the pourover will. This includes the blank pourover will template.
02
Fill in your personal information such as your full legal name, date of birth, and current address.
03
Designate a primary beneficiary, who will receive your assets if you pass away.
04
Specify any alternate beneficiaries, who will receive your assets if the primary beneficiary is unable to inherit.
05
Appoint an executor, who will be responsible for carrying out the instructions in the pourover will.
06
Include details about specific assets that you want to pass through the pourover will.
07
Consider adding any additional instructions or provisions that you want to include in the pourover will.
08
Review the completed pourover will for accuracy and make any necessary revisions.
09
Sign the pourover will in the presence of witnesses as required by your jurisdiction.
10
Store the pourover will in a safe and accessible place, and inform your executor about its location.
Who needs sample pourover will last?
01
Those who want to ensure that their assets are transferred according to their wishes after passing away may need a sample pourover will last.
02
Individuals who have considerable assets or complex estate situations may also benefit from using a pourover will to maintain control over the distribution of their assets.
Fill
form
: Try Risk Free
For pdfFiller’s FAQs
Below is a list of the most common customer questions. If you can’t find an answer to your question, please don’t hesitate to reach out to us.
How can I get sample pourover will last?
It's simple with pdfFiller, a full online document management tool. Access our huge online form collection (over 25M fillable forms are accessible) and find the sample pourover will last in seconds. Open it immediately and begin modifying it with powerful editing options.
Can I create an electronic signature for signing my sample pourover will last in Gmail?
You may quickly make your eSignature using pdfFiller and then eSign your sample pourover will last right from your mailbox using pdfFiller's Gmail add-on. Please keep in mind that in order to preserve your signatures and signed papers, you must first create an account.
How do I fill out the sample pourover will last form on my smartphone?
You can easily create and fill out legal forms with the help of the pdfFiller mobile app. Complete and sign sample pourover will last and other documents on your mobile device using the application. Visit pdfFiller’s webpage to learn more about the functionalities of the PDF editor.
What is sample pourover will last?
A sample pourover will typically last until the estate is fully administered, which can vary depending on the complexity of the estate and any legal proceedings involved.
Who is required to file sample pourover will last?
The executor or personal representative of the estate is required to file a sample pourover will.
How to fill out sample pourover will last?
To fill out a sample pourover will, you should clearly identify the testator, list any specific bequests, and designate the executor, along with outlining the distribution of remaining assets.
What is the purpose of sample pourover will last?
The purpose of a sample pourover will is to direct any assets acquired after the execution of the will into a specified trust or estate, ensuring they are distributed according to the testator's wishes.
What information must be reported on sample pourover will last?
Information that must be reported includes the identity of the testator, the beneficiaries, a description of the trust or estate to which assets will be poured over, and any specific provisions or conditions.
Fill out your sample pourover will last online with pdfFiller!
pdfFiller is an end-to-end solution for managing, creating, and editing documents and forms in the cloud. Save time and hassle by preparing your tax forms online.
Sample Pourover Will Last is not the form you're looking for?Search for another form here.
Relevant keywords
Related Forms
If you believe that this page should be taken down, please follow our DMCA take down process
here
.
This form may include fields for payment information. Data entered in these fields is not covered by PCI DSS compliance.