Get the free Iptv channels Entertainment Companies Of The United States ...
Show details
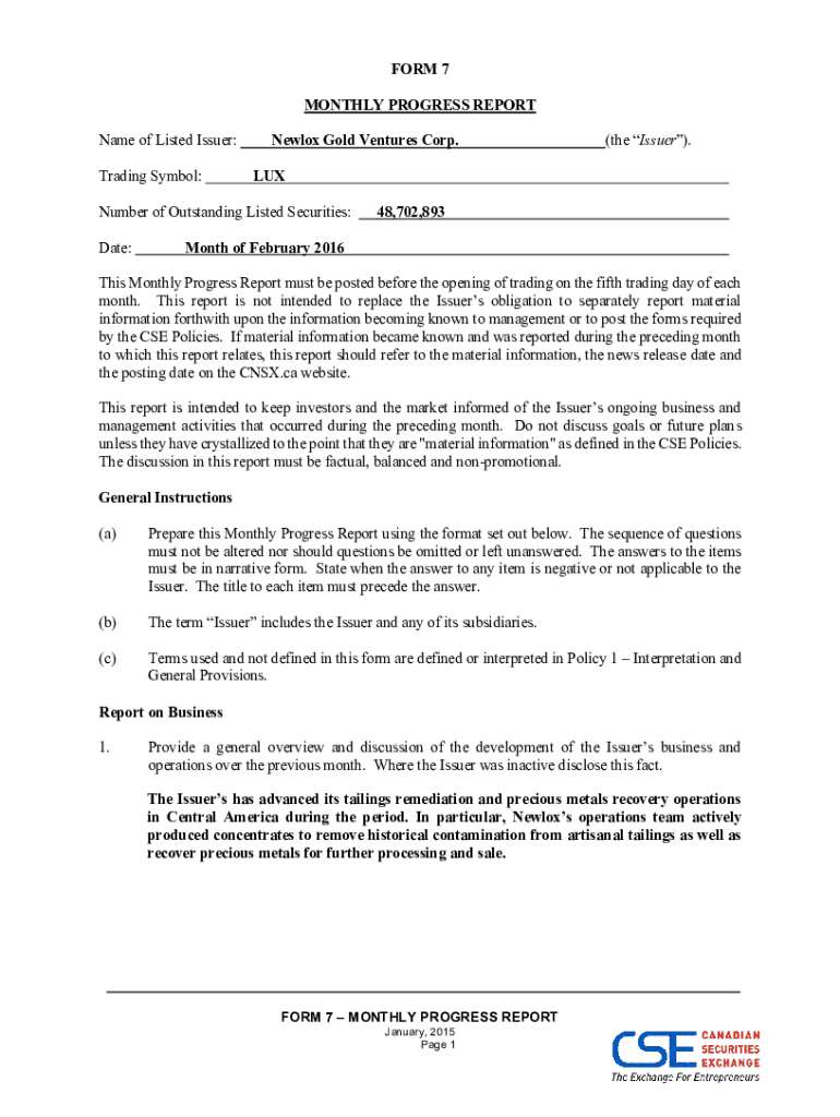
FORM 7
MONTHLY PROGRESS REPORT
Name of Listed Issuer:
Trading Symbol:New lox Gold Ventures Corp.
Outnumber of Outstanding Listed Securities:
Date:(the Issuer).48,702,893Month of February 2016This
We are not affiliated with any brand or entity on this form
Get, Create, Make and Sign iptv channels entertainment companies
Edit your iptv channels entertainment companies form online
Type text, complete fillable fields, insert images, highlight or blackout data for discretion, add comments, and more.
Add your legally-binding signature
Draw or type your signature, upload a signature image, or capture it with your digital camera.
Share your form instantly
Email, fax, or share your iptv channels entertainment companies form via URL. You can also download, print, or export forms to your preferred cloud storage service.
How to edit iptv channels entertainment companies online
Follow the guidelines below to benefit from a competent PDF editor:
1
Register the account. Begin by clicking Start Free Trial and create a profile if you are a new user.
2
Prepare a file. Use the Add New button to start a new project. Then, using your device, upload your file to the system by importing it from internal mail, the cloud, or adding its URL.
3
Edit iptv channels entertainment companies. Text may be added and replaced, new objects can be included, pages can be rearranged, watermarks and page numbers can be added, and so on. When you're done editing, click Done and then go to the Documents tab to combine, divide, lock, or unlock the file.
4
Get your file. Select your file from the documents list and pick your export method. You may save it as a PDF, email it, or upload it to the cloud.
pdfFiller makes working with documents easier than you could ever imagine. Try it for yourself by creating an account!
Uncompromising security for your PDF editing and eSignature needs
Your private information is safe with pdfFiller. We employ end-to-end encryption, secure cloud storage, and advanced access control to protect your documents and maintain regulatory compliance.
How to fill out iptv channels entertainment companies
How to fill out iptv channels entertainment companies
01
To fill out IPTV channels for entertainment companies, follow these steps:
02
Research and gather a list of entertainment companies that provide IPTV channels.
03
Create a spreadsheet or document to organize the information you will need to fill out.
04
Start by filling out the basic information about each entertainment company, such as their name, website, and contact details.
05
Research and gather the list of IPTV channels offered by each entertainment company.
06
Organize the channels based on categories or genres for easier navigation.
07
Fill out the channel details, such as channel name, channel number, category, description, and any other relevant information.
08
Double-check the accuracy of the information filled out and make any necessary corrections.
09
Once you have filled out all the information for each entertainment company and their IPTV channels, save the document or spreadsheet for future reference.
10
Update the information regularly to keep it up-to-date with any changes or additions made by the entertainment companies.
Who needs iptv channels entertainment companies?
01
IPTV channels entertainment companies are needed by various individuals and organizations such as:
02
- Cable and satellite TV providers looking to expand their channel offerings.
03
- Hotels and resorts that want to provide a wide range of entertainment options for their guests.
04
- Digital streaming platforms that want to include IPTV channels as part of their content library.
05
- Business establishments like bars, restaurants, and cafes that aim to provide a diverse range of entertainment for their customers.
06
- Individuals who prefer IPTV channels over traditional cable or satellite TV for accessing a variety of entertainment content.
Fill
form
: Try Risk Free
For pdfFiller’s FAQs
Below is a list of the most common customer questions. If you can’t find an answer to your question, please don’t hesitate to reach out to us.
How can I manage my iptv channels entertainment companies directly from Gmail?
It's easy to use pdfFiller's Gmail add-on to make and edit your iptv channels entertainment companies and any other documents you get right in your email. You can also eSign them. Take a look at the Google Workspace Marketplace and get pdfFiller for Gmail. Get rid of the time-consuming steps and easily manage your documents and eSignatures with the help of an app.
How can I send iptv channels entertainment companies to be eSigned by others?
Once your iptv channels entertainment companies is ready, you can securely share it with recipients and collect eSignatures in a few clicks with pdfFiller. You can send a PDF by email, text message, fax, USPS mail, or notarize it online - right from your account. Create an account now and try it yourself.
Can I edit iptv channels entertainment companies on an Android device?
Yes, you can. With the pdfFiller mobile app for Android, you can edit, sign, and share iptv channels entertainment companies on your mobile device from any location; only an internet connection is needed. Get the app and start to streamline your document workflow from anywhere.
What is iptv channels entertainment companies?
IPTV channels entertainment companies are businesses that provide internet protocol television (IPTV) services, delivering content such as television shows, movies, and other multimedia programming over the internet.
Who is required to file iptv channels entertainment companies?
Companies that operate IPTV services and provide entertainment content are typically required to file reports concerning their operations, compliance with licensing, and relevant regulations.
How to fill out iptv channels entertainment companies?
To fill out forms for IPTV channels entertainment companies, one typically needs to provide information about the business structure, licensing details, subscriber counts, revenue data, and any compliance measures in place.
What is the purpose of iptv channels entertainment companies?
The purpose of IPTV channels entertainment companies is to provide consumers with a high-quality viewing experience through internet streaming, offering varied programming options not tied to traditional cable or satellite services.
What information must be reported on iptv channels entertainment companies?
Reported information usually includes business details such as ownership structure, financial performance, subscriber numbers, content licensing agreements, and compliance with broadcasting regulations.
Fill out your iptv channels entertainment companies online with pdfFiller!
pdfFiller is an end-to-end solution for managing, creating, and editing documents and forms in the cloud. Save time and hassle by preparing your tax forms online.
Iptv Channels Entertainment Companies is not the form you're looking for?Search for another form here.
Relevant keywords
Related Forms
If you believe that this page should be taken down, please follow our DMCA take down process
here
.
This form may include fields for payment information. Data entered in these fields is not covered by PCI DSS compliance.