Get the free Building Department / Berlin, CT
Show details
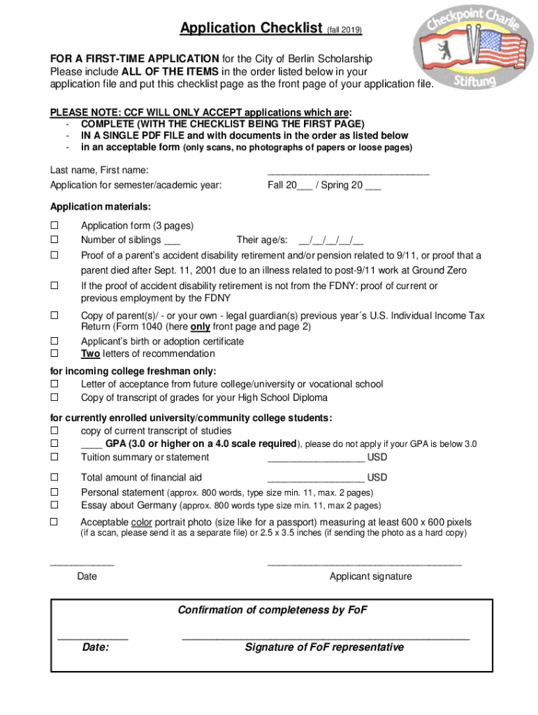
Application Checklist (fall 2019) FOR A FIRST TIME APPLICATION for the City of Berlin Scholarship Please include All the ITEMS in the order listed below in your application file and put this checklist
We are not affiliated with any brand or entity on this form
Get, Create, Make and Sign building department berlin ct
Edit your building department berlin ct form online
Type text, complete fillable fields, insert images, highlight or blackout data for discretion, add comments, and more.
Add your legally-binding signature
Draw or type your signature, upload a signature image, or capture it with your digital camera.
Share your form instantly
Email, fax, or share your building department berlin ct form via URL. You can also download, print, or export forms to your preferred cloud storage service.
How to edit building department berlin ct online
In order to make advantage of the professional PDF editor, follow these steps below:
1
Create an account. Begin by choosing Start Free Trial and, if you are a new user, establish a profile.
2
Upload a file. Select Add New on your Dashboard and upload a file from your device or import it from the cloud, online, or internal mail. Then click Edit.
3
Edit building department berlin ct. Add and replace text, insert new objects, rearrange pages, add watermarks and page numbers, and more. Click Done when you are finished editing and go to the Documents tab to merge, split, lock or unlock the file.
4
Get your file. When you find your file in the docs list, click on its name and choose how you want to save it. To get the PDF, you can save it, send an email with it, or move it to the cloud.
pdfFiller makes dealing with documents a breeze. Create an account to find out!
Uncompromising security for your PDF editing and eSignature needs
Your private information is safe with pdfFiller. We employ end-to-end encryption, secure cloud storage, and advanced access control to protect your documents and maintain regulatory compliance.
How to fill out building department berlin ct
How to fill out building department berlin ct
01
To fill out the building department form in Berlin, CT, follow these steps:
02
Start by obtaining the necessary forms from the building department office or their official website.
03
Carefully read the instructions provided with the forms to understand the requirements and ensure compliance.
04
Gather all the required documentation and information needed to complete the form, such as building plans, permits, and any applicable fees.
05
Begin filling out the form by entering your personal information and contact details as required.
06
Provide detailed information about the project or construction work, including its purpose, location, and any relevant specifications.
07
Attach any additional supporting documents or drawings as specified in the instructions.
08
Review the completed form to ensure accuracy and completeness.
09
Submit the completed form along with any required fees to the building department office in Berlin, CT.
10
Keep copies of the form and all supporting documents for your records.
11
Await further instructions or notifications from the building department regarding your application.
Who needs building department berlin ct?
01
Anyone who intends to undertake construction, renovation, or any type of building work in Berlin, CT needs to interact with the building department.
02
This includes homeowners, contractors, architects, engineers, or any other individual or entity responsible for planning or executing construction projects.
03
The building department ensures compliance with building codes and regulations to maintain safety, integrity, and quality standards within the town.
04
By engaging with the building department, applicants ensure they meet all necessary requirements and obtain the required permits and approvals for their projects.
Fill
form
: Try Risk Free
For pdfFiller’s FAQs
Below is a list of the most common customer questions. If you can’t find an answer to your question, please don’t hesitate to reach out to us.
How can I get building department berlin ct?
It’s easy with pdfFiller, a comprehensive online solution for professional document management. Access our extensive library of online forms (over 25M fillable forms are available) and locate the building department berlin ct in a matter of seconds. Open it right away and start customizing it using advanced editing features.
How do I execute building department berlin ct online?
Filling out and eSigning building department berlin ct is now simple. The solution allows you to change and reorganize PDF text, add fillable fields, and eSign the document. Start a free trial of pdfFiller, the best document editing solution.
Can I edit building department berlin ct on an Android device?
With the pdfFiller Android app, you can edit, sign, and share building department berlin ct on your mobile device from any place. All you need is an internet connection to do this. Keep your documents in order from anywhere with the help of the app!
What is building department berlin ct?
The Building Department in Berlin, CT is a governmental agency responsible for enforcing building codes, issuing permits, and ensuring safety regulations within the community.
Who is required to file building department berlin ct?
Anyone planning to undertake construction, renovation, or certain remodeling projects within Berlin, CT is required to file with the Building Department.
How to fill out building department berlin ct?
To fill out the required documents for the Building Department in Berlin, CT, applicants must provide details of the project, including design plans, specifications, and relevant zoning information, which can typically be obtained on the department's official website or in-person.
What is the purpose of building department berlin ct?
The purpose of the Building Department in Berlin, CT is to ensure that all construction complies with local, state, and federal building codes, promotes public safety, health, and welfare, and preserves the character of the community.
What information must be reported on building department berlin ct?
Information that must be reported includes project specifics like site plans, architectural designs, property details, contractor information, and compliance with zoning laws.
Fill out your building department berlin ct online with pdfFiller!
pdfFiller is an end-to-end solution for managing, creating, and editing documents and forms in the cloud. Save time and hassle by preparing your tax forms online.
Building Department Berlin Ct is not the form you're looking for?Search for another form here.
Relevant keywords
Related Forms
If you believe that this page should be taken down, please follow our DMCA take down process
here
.
This form may include fields for payment information. Data entered in these fields is not covered by PCI DSS compliance.