Get the free Systems Administrator I Job DescriptionSalary.com
Show details
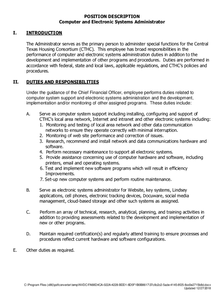
POSITION DESCRIPTION
Computer and Electronic Systems Administrator
I.INTRODUCTION
The Administrator serves as the primary person to administer special functions for the Central
Texas Housing Consortium
We are not affiliated with any brand or entity on this form
Get, Create, Make and Sign systems administrator i job
Edit your systems administrator i job form online
Type text, complete fillable fields, insert images, highlight or blackout data for discretion, add comments, and more.
Add your legally-binding signature
Draw or type your signature, upload a signature image, or capture it with your digital camera.
Share your form instantly
Email, fax, or share your systems administrator i job form via URL. You can also download, print, or export forms to your preferred cloud storage service.
How to edit systems administrator i job online
Use the instructions below to start using our professional PDF editor:
1
Set up an account. If you are a new user, click Start Free Trial and establish a profile.
2
Prepare a file. Use the Add New button to start a new project. Then, using your device, upload your file to the system by importing it from internal mail, the cloud, or adding its URL.
3
Edit systems administrator i job. Add and change text, add new objects, move pages, add watermarks and page numbers, and more. Then click Done when you're done editing and go to the Documents tab to merge or split the file. If you want to lock or unlock the file, click the lock or unlock button.
4
Get your file. Select the name of your file in the docs list and choose your preferred exporting method. You can download it as a PDF, save it in another format, send it by email, or transfer it to the cloud.
pdfFiller makes working with documents easier than you could ever imagine. Create an account to find out for yourself how it works!
Uncompromising security for your PDF editing and eSignature needs
Your private information is safe with pdfFiller. We employ end-to-end encryption, secure cloud storage, and advanced access control to protect your documents and maintain regulatory compliance.
How to fill out systems administrator i job
How to fill out systems administrator i job
01
Start by reviewing the job description and understanding the specific requirements and responsibilities of the Systems Administrator I job.
02
Update your resume to highlight your relevant skills, experience, and qualifications for the role.
03
Research the company and its industry to gain a better understanding of their technology infrastructure and system requirements.
04
Prepare for the interview by practicing common technical and problem-solving questions related to systems administration.
05
During the interview, demonstrate your knowledge of operating systems, network protocols, security measures, and system troubleshooting.
06
Show your ability to handle various system administration tasks such as user management, software installation, hardware maintenance, and system monitoring.
07
Emphasize your communication and teamwork skills, as systems administrators often work closely with other IT professionals and end-users.
08
Follow up with a thank-you note or email to express your gratitude for the opportunity and to reiterate your interest in the Systems Administrator I position.
Who needs systems administrator i job?
01
Companies and organizations of all sizes and industries that rely on computer systems and networks need Systems Administrator I job.
02
Small businesses may need a Systems Administrator I to manage their IT infrastructure and ensure smooth operations.
03
Large corporations often have complex networks and numerous systems, requiring the expertise of a Systems Administrator I to maintain and support them.
04
Government agencies, educational institutions, healthcare facilities, and non-profit organizations also require Systems Administrator I to manage their IT assets and keep their systems running efficiently.
05
Any organization that values the security, reliability, and performance of their computer systems will benefit from having a Systems Administrator I on their team.
Fill
form
: Try Risk Free
For pdfFiller’s FAQs
Below is a list of the most common customer questions. If you can’t find an answer to your question, please don’t hesitate to reach out to us.
How do I make edits in systems administrator i job without leaving Chrome?
Add pdfFiller Google Chrome Extension to your web browser to start editing systems administrator i job and other documents directly from a Google search page. The service allows you to make changes in your documents when viewing them in Chrome. Create fillable documents and edit existing PDFs from any internet-connected device with pdfFiller.
Can I create an eSignature for the systems administrator i job in Gmail?
It's easy to make your eSignature with pdfFiller, and then you can sign your systems administrator i job right from your Gmail inbox with the help of pdfFiller's add-on for Gmail. This is a very important point: You must sign up for an account so that you can save your signatures and signed documents.
How do I complete systems administrator i job on an Android device?
On an Android device, use the pdfFiller mobile app to finish your systems administrator i job. The program allows you to execute all necessary document management operations, such as adding, editing, and removing text, signing, annotating, and more. You only need a smartphone and an internet connection.
What is systems administrator i job?
The Systems Administrator I job is a role focused on managing and maintaining an organization's IT systems, ensuring proper operation, performance, and security.
Who is required to file systems administrator i job?
Typically, individuals in the position of Systems Administrator I, or those responsible for managing the relevant documentation and reporting for IT systems within an organization, are required to file.
How to fill out systems administrator i job?
To fill out the Systems Administrator I job filing, one should gather necessary information regarding their responsibilities, qualifications, and any relevant project details before completing the required forms accurately.
What is the purpose of systems administrator i job?
The purpose of the Systems Administrator I job is to ensure the availability, reliability, and security of IT systems, supporting users and facilitating organizational goals through effective technology management.
What information must be reported on systems administrator i job?
Information typically reported includes job responsibilities, required skills, project achievements, system performance metrics, and any incidents managed during the tenure.
Fill out your systems administrator i job online with pdfFiller!
pdfFiller is an end-to-end solution for managing, creating, and editing documents and forms in the cloud. Save time and hassle by preparing your tax forms online.
Systems Administrator I Job is not the form you're looking for?Search for another form here.
Relevant keywords
Related Forms
If you believe that this page should be taken down, please follow our DMCA take down process
here
.
This form may include fields for payment information. Data entered in these fields is not covered by PCI DSS compliance.