Form preview

Get the free (See rules 9 12 Forms FC-3A FC-3B and ... - Tax Management India

Get Form
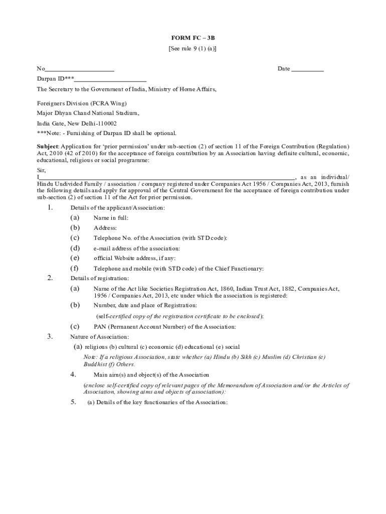
FORM FC 3B See rule 9 (1) (a) NoDateDarpan ID*** The Secretary to the Government of India, Ministry of Home Affairs, Foreigners Division (FCRA Wing) Major Dayan Hand National Stadium, India Gate,
We are not affiliated with any brand or entity on this form

Get, Create, Make and Sign see rules 9 12

Edit
Edit your see rules 9 12 form online
Type text, complete fillable fields, insert images, highlight or blackout data for discretion, add comments, and more.
Add
Add your legally-binding signature
Draw or type your signature, upload a signature image, or capture it with your digital camera.
Share
Share your form instantly
Email, fax, or share your see rules 9 12 form via URL. You can also download, print, or export forms to your preferred cloud storage service.

How to edit see rules 9 12 online

9.5
Ease of Setup
pdfFiller User Ratings on G2
9.0
Ease of Use
pdfFiller User Ratings on G2
Follow the guidelines below to take advantage of the professional PDF editor:
1
Check your account. It's time to start your free trial.
2
Simply add a document. Select Add New from your Dashboard and import a file into the system by uploading it from your device or importing it via the cloud, online, or internal mail. Then click Begin editing.
3
Edit see rules 9 12. Rearrange and rotate pages, insert new and alter existing texts, add new objects, and take advantage of other helpful tools. Click Done to apply changes and return to your Dashboard. Go to the Documents tab to access merging, splitting, locking, or unlocking functions.
4
Save your file. Select it from your records list. Then, click the right toolbar and select one of the various exporting options: save in numerous formats, download as PDF, email, or cloud.
The use of pdfFiller makes dealing with documents straightforward. Now is the time to try it!

Uncompromising security for your PDF editing and eSignature needs

Your private information is safe with pdfFiller. We employ end-to-end encryption, secure cloud storage, and advanced access control to protect your documents and maintain regulatory compliance.
GDPR
AICPA SOC 2
PCI
HIPAA
CCPA
FDA

How to fill out see rules 9 12

Illustration

How to fill out see rules 9 12

01
To fill out see rules 9-12, follow these steps:
02
Read rules 9-12 carefully to understand the content.
03
Identify the specific information you need to provide in the form.
04
Gather all the required documents and information.
05
Begin filling out the form by providing your personal details such as name, address, and contact information.
06
Follow the instructions given in the form to fill out the sections related to rules 9-12.
07
Double-check all the information you have provided to ensure accuracy.
08
If there are any additional sections or fields related to the rules, make sure to complete them accordingly.
09
Review the completed form to ensure everything is filled out correctly and all necessary information is included.
10
Sign and date the form as required.
11
Make a copy of the filled out form for your records.
12
Submit the form as per the specified instructions (online submission, mail, etc.).

Who needs see rules 9 12?

01
Anyone who is required to comply with or refer to rules 9-12 should see them. This can include individuals, organizations, or institutions that are subject to these rules, such as employees, students, business owners, etc.
Fill form : Try Risk Free
Users Most Likely To Recommend - Summer 2025
Grid Leader in Small-Business - Summer 2025
High Performer - Summer 2025
Regional Leader - Summer 2025
Easiest To Do Business With - Summer 2025
Best Meets Requirements- Summer 2025
Rate the form
4.2
Satisfied
34 Votes

For pdfFiller’s FAQs

Below is a list of the most common customer questions. If you can’t find an answer to your question, please don’t hesitate to reach out to us.

The premium subscription for pdfFiller provides you with access to an extensive library of fillable forms (over 25M fillable templates) that you can download, fill out, print, and sign. You won’t have any trouble finding state-specific see rules 9 12 and other forms in the library. Find the template you need and customize it using advanced editing functionalities.
pdfFiller not only allows you to edit the content of your files but fully rearrange them by changing the number and sequence of pages. Upload your see rules 9 12 to the editor and make any required adjustments in a couple of clicks. The editor enables you to blackout, type, and erase text in PDFs, add images, sticky notes and text boxes, and much more.
With the pdfFiller Android app, you can edit, sign, and share see rules 9 12 on your mobile device from any place. All you need is an internet connection to do this. Keep your documents in order from anywhere with the help of the app!
See rules 9 and 12 refer to specific regulatory provisions that dictate certain compliance and reporting requirements in a given context, often related to financial or operational practices.
Typically, entities or individuals who meet specific criteria outlined in the corresponding regulations are required to file under see rules 9 and 12. This often includes businesses, financial institutions, or organizations engaged in relevant activities.
To fill out see rules 9 and 12, one must complete the designated forms accurately, providing all required information as per the guidelines outlined in the regulatory framework. This may include financial data, operational details, and other specific information pertinent to the rules.
The purpose of see rules 9 and 12 is to ensure transparency, accountability, and compliance within the regulated entities. They aim to provide a framework for monitoring and assessing adherence to relevant standards and practices.
Information typically required includes financial statements, operational reports, compliance data, and other disclosures as mandated by the specific provisions of rules 9 and 12.
Fill out your see rules 9 12 online with pdfFiller!

pdfFiller is an end-to-end solution for managing, creating, and editing documents and forms in the cloud. Save time and hassle by preparing your tax forms online.

Get started now
Form preview
If you believe that this page should be taken down, please follow our DMCA take down process here .
This form may include fields for payment information. Data entered in these fields is not covered by PCI DSS compliance.