Get the free Parent/Guardian consent form for accompanying child
Show details
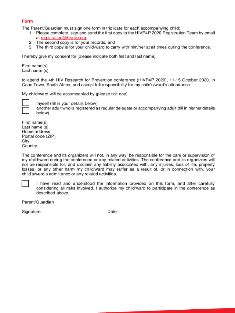
Parent/Guardian consent form for accompanying child
Participants must be at least 18 years old (as of 11 October 2020) to attend the conference on his/her
own. Children/youth under the age of 18 (as
We are not affiliated with any brand or entity on this form
Get, Create, Make and Sign parentguardian consent form for
Edit your parentguardian consent form for form online
Type text, complete fillable fields, insert images, highlight or blackout data for discretion, add comments, and more.
Add your legally-binding signature
Draw or type your signature, upload a signature image, or capture it with your digital camera.
Share your form instantly
Email, fax, or share your parentguardian consent form for form via URL. You can also download, print, or export forms to your preferred cloud storage service.
How to edit parentguardian consent form for online
Follow the guidelines below to take advantage of the professional PDF editor:
1
Register the account. Begin by clicking Start Free Trial and create a profile if you are a new user.
2
Upload a document. Select Add New on your Dashboard and transfer a file into the system in one of the following ways: by uploading it from your device or importing from the cloud, web, or internal mail. Then, click Start editing.
3
Edit parentguardian consent form for. Add and change text, add new objects, move pages, add watermarks and page numbers, and more. Then click Done when you're done editing and go to the Documents tab to merge or split the file. If you want to lock or unlock the file, click the lock or unlock button.
4
Get your file. When you find your file in the docs list, click on its name and choose how you want to save it. To get the PDF, you can save it, send an email with it, or move it to the cloud.
With pdfFiller, it's always easy to work with documents. Check it out!
Uncompromising security for your PDF editing and eSignature needs
Your private information is safe with pdfFiller. We employ end-to-end encryption, secure cloud storage, and advanced access control to protect your documents and maintain regulatory compliance.
How to fill out parentguardian consent form for
How to fill out parentguardian consent form for
01
Start by downloading the parent/guardian consent form from the appropriate website or organization.
02
Read through the form carefully to understand the information and permissions required.
03
Fill out the top section of the form with your personal details, including your name, address, and contact information.
04
Provide the necessary information about the minor child for whom you are giving consent, such as their name, date of birth, and any relevant medical or health conditions.
05
Review the different sections of the form where consent is needed, such as participation in activities, medical treatments, or field trips.
06
Indicate your consent by checking the appropriate boxes or providing your signature where required.
07
If there are any sections that you do not wish to provide consent for, clearly indicate your decision by crossing out or leaving them blank.
08
Double-check all the information you have provided to ensure accuracy and completeness.
09
If required, attach any supporting documents or additional information requested by the form.
10
Submit the completed form through the designated method specified by the organization, whether it is online submission, mail, or in-person delivery.
11
Keep a copy of the filled-out consent form for your records.
12
Remember to renew or update the consent form as necessary, especially if there are any changes to the child's information or your own contact details.
Who needs parentguardian consent form for?
01
Parent or legal guardian of a minor child typically needs to fill out a parent/guardian consent form.
02
These forms are often required by schools, summer camps, sports clubs, healthcare providers, and other organizations that work with children.
03
The form is necessary to obtain permission and authorization from the parent or guardian for specific activities, treatments, or events involving the child.
04
It ensures that the responsible parties have consent from the child's parent or guardian and are aware of any important medical information or restrictions.
Fill
form
: Try Risk Free
For pdfFiller’s FAQs
Below is a list of the most common customer questions. If you can’t find an answer to your question, please don’t hesitate to reach out to us.
How can I manage my parentguardian consent form for directly from Gmail?
parentguardian consent form for and other documents can be changed, filled out, and signed right in your Gmail inbox. You can use pdfFiller's add-on to do this, as well as other things. When you go to Google Workspace, you can find pdfFiller for Gmail. You should use the time you spend dealing with your documents and eSignatures for more important things, like going to the gym or going to the dentist.
How can I send parentguardian consent form for for eSignature?
Once your parentguardian consent form for is ready, you can securely share it with recipients and collect eSignatures in a few clicks with pdfFiller. You can send a PDF by email, text message, fax, USPS mail, or notarize it online - right from your account. Create an account now and try it yourself.
Can I create an eSignature for the parentguardian consent form for in Gmail?
Use pdfFiller's Gmail add-on to upload, type, or draw a signature. Your parentguardian consent form for and other papers may be signed using pdfFiller. Register for a free account to preserve signed papers and signatures.
What is parentguardian consent form for?
The parent/guardian consent form is used to obtain permission from a parent or guardian for a minor to participate in specific activities or programs, such as medical procedures, educational trips, or research studies.
Who is required to file parentguardian consent form for?
Typically, organizations, schools, or healthcare providers that wish to involve minors in their programs or activities are required to file a parent/guardian consent form.
How to fill out parentguardian consent form for?
To fill out the parent/guardian consent form, provide necessary information such as the minor's name, date of birth, the specific activity or program, and the parent or guardian's contact information. Sign and date the form to complete it.
What is the purpose of parentguardian consent form for?
The purpose of the parent/guardian consent form is to ensure that parents or guardians are informed about the activity and to obtain their approval, thereby ensuring legal protection for both the organization and the minor.
What information must be reported on parentguardian consent form for?
The parent/guardian consent form must typically include the minor's name, date of birth, parent or guardian's information, details of the activity, potential risks, and signatures of the parent or guardian.
Fill out your parentguardian consent form for online with pdfFiller!
pdfFiller is an end-to-end solution for managing, creating, and editing documents and forms in the cloud. Save time and hassle by preparing your tax forms online.
Parentguardian Consent Form For is not the form you're looking for?Search for another form here.
Relevant keywords
Related Forms
If you believe that this page should be taken down, please follow our DMCA take down process
here
.
This form may include fields for payment information. Data entered in these fields is not covered by PCI DSS compliance.