
Get the free FORM- V. (See rule 7 (2) Application for Licence for ...
Show details
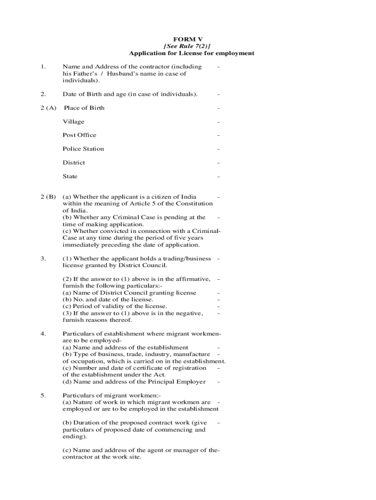
FORM V See Rule 7(2) Application for License for employment 1. Name and Address of the contractor (including his Fathers / Husbands name in case of individuals).2. Date of Birth and age (in case of
We are not affiliated with any brand or entity on this form
Get, Create, Make and Sign form- v see rule

Edit your form- v see rule form online
Type text, complete fillable fields, insert images, highlight or blackout data for discretion, add comments, and more.

Add your legally-binding signature
Draw or type your signature, upload a signature image, or capture it with your digital camera.

Share your form instantly
Email, fax, or share your form- v see rule form via URL. You can also download, print, or export forms to your preferred cloud storage service.
Editing form- v see rule online
Use the instructions below to start using our professional PDF editor:
1
Register the account. Begin by clicking Start Free Trial and create a profile if you are a new user.
2
Simply add a document. Select Add New from your Dashboard and import a file into the system by uploading it from your device or importing it via the cloud, online, or internal mail. Then click Begin editing.
3
Edit form- v see rule. Add and replace text, insert new objects, rearrange pages, add watermarks and page numbers, and more. Click Done when you are finished editing and go to the Documents tab to merge, split, lock or unlock the file.
4
Save your file. Select it from your records list. Then, click the right toolbar and select one of the various exporting options: save in numerous formats, download as PDF, email, or cloud.
The use of pdfFiller makes dealing with documents straightforward. Now is the time to try it!
Uncompromising security for your PDF editing and eSignature needs
Your private information is safe with pdfFiller. We employ end-to-end encryption, secure cloud storage, and advanced access control to protect your documents and maintain regulatory compliance.
How to fill out form- v see rule

How to fill out form- v see rule
01
To fill out the form, follow these steps:
02
Start by reviewing the form instructions and make sure you understand all the requirements.
03
Gather all the necessary information and documents that are required for the form.
04
Begin filling out the form by providing accurate and complete information in each section.
05
Double-check your entries for any errors or omissions.
06
If there are any specific rules or guidelines mentioned for filling out the form, ensure that you comply with them.
07
Once you have completed filling out the form, review it again to ensure everything is accurate.
08
Sign and date the form as required.
09
Submit the form through the designated method mentioned in the instructions.
10
Keep a copy of the filled-out form for your records.
Who needs form- v see rule?
01
The form is needed by individuals or entities who are required to provide certain information or data as per a specific process or requirement.
02
The exact group of people or organizations who need the form may vary based on the purpose and nature of the form.
03
One should refer to the specific rules or instructions associated with the form to determine who needs to fill it out.
Fill
form
: Try Risk Free
For pdfFiller’s FAQs
Below is a list of the most common customer questions. If you can’t find an answer to your question, please don’t hesitate to reach out to us.
How can I modify form- v see rule without leaving Google Drive?
pdfFiller and Google Docs can be used together to make your documents easier to work with and to make fillable forms right in your Google Drive. The integration will let you make, change, and sign documents, like form- v see rule, without leaving Google Drive. Add pdfFiller's features to Google Drive, and you'll be able to do more with your paperwork on any internet-connected device.
How do I make edits in form- v see rule without leaving Chrome?
Install the pdfFiller Google Chrome Extension in your web browser to begin editing form- v see rule and other documents right from a Google search page. When you examine your documents in Chrome, you may make changes to them. With pdfFiller, you can create fillable documents and update existing PDFs from any internet-connected device.
Can I edit form- v see rule on an Android device?
With the pdfFiller Android app, you can edit, sign, and share form- v see rule on your mobile device from any place. All you need is an internet connection to do this. Keep your documents in order from anywhere with the help of the app!
What is form- v see rule?
Form V under Rule V is a document required to be filed in compliance with certain regulations.
Who is required to file form- v see rule?
Any entity or individual subject to the regulations specified in Rule V may be required to file Form V.
How to fill out form- v see rule?
Form V should be filled out completely, accurately, and submitted according to the instructions provided.
What is the purpose of form- v see rule?
The purpose of Form V is to report relevant information and adhere to regulatory requirements.
What information must be reported on form- v see rule?
The specific information required to be reported on Form V will vary depending on the regulations under Rule V.
Fill out your form- v see rule online with pdfFiller!
pdfFiller is an end-to-end solution for managing, creating, and editing documents and forms in the cloud. Save time and hassle by preparing your tax forms online.

Form- V See Rule is not the form you're looking for?Search for another form here.
Relevant keywords
Related Forms
If you believe that this page should be taken down, please follow our DMCA take down process
here
.
This form may include fields for payment information. Data entered in these fields is not covered by PCI DSS compliance.