
Get the free Clergy Reimbursement Policy and Worksheet
Show details
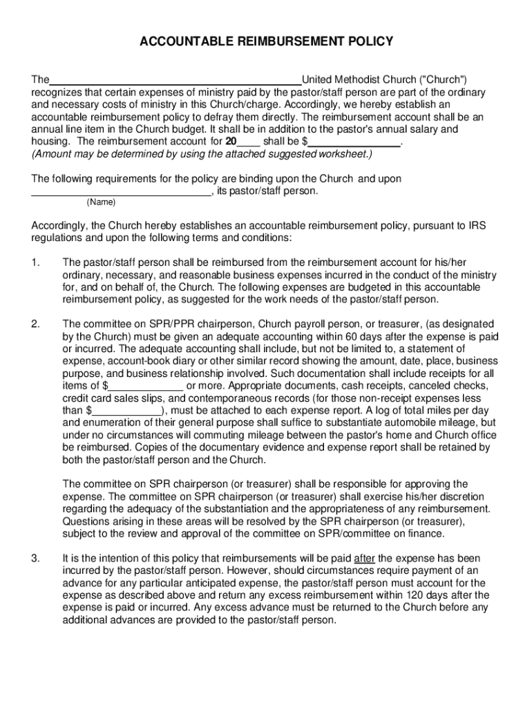
ACCOUNTABLE REIMBURSEMENT POLICY The United Methodist Church (“Church “) recognizes that certain expenses of ministry paid by the pastor/staff person are part of the ordinary and necessary costs
We are not affiliated with any brand or entity on this form
Get, Create, Make and Sign clergy reimbursement policy and

Edit your clergy reimbursement policy and form online
Type text, complete fillable fields, insert images, highlight or blackout data for discretion, add comments, and more.

Add your legally-binding signature
Draw or type your signature, upload a signature image, or capture it with your digital camera.

Share your form instantly
Email, fax, or share your clergy reimbursement policy and form via URL. You can also download, print, or export forms to your preferred cloud storage service.
Editing clergy reimbursement policy and online
Follow the steps down below to benefit from a competent PDF editor:
1
Log in. Click Start Free Trial and create a profile if necessary.
2
Upload a file. Select Add New on your Dashboard and upload a file from your device or import it from the cloud, online, or internal mail. Then click Edit.
3
Edit clergy reimbursement policy and. Text may be added and replaced, new objects can be included, pages can be rearranged, watermarks and page numbers can be added, and so on. When you're done editing, click Done and then go to the Documents tab to combine, divide, lock, or unlock the file.
4
Save your file. Select it in the list of your records. Then, move the cursor to the right toolbar and choose one of the available exporting methods: save it in multiple formats, download it as a PDF, send it by email, or store it in the cloud.
The use of pdfFiller makes dealing with documents straightforward.
Uncompromising security for your PDF editing and eSignature needs
Your private information is safe with pdfFiller. We employ end-to-end encryption, secure cloud storage, and advanced access control to protect your documents and maintain regulatory compliance.
How to fill out clergy reimbursement policy and

How to fill out clergy reimbursement policy and
01
To fill out the clergy reimbursement policy form, follow these steps:
02
Begin by entering your name and contact information in the designated fields.
03
Provide the details of the church or religious organization you are affiliated with.
04
Specify the purpose of the reimbursement, such as travel expenses, educational materials, or medical costs.
05
Attach any necessary supporting documents, such as receipts or invoices, to validate the requested reimbursement.
06
Make sure to indicate the total amount being claimed for reimbursement.
07
Review all the information provided and ensure its accuracy.
08
Sign and date the form to complete the process.
09
Submit the filled-out form to the appropriate authority or department specified by your church or organization.
Who needs clergy reimbursement policy and?
01
The clergy reimbursement policy is needed by clergy members or religious leaders who are seeking reimbursement for expenses incurred in performing their duties.
02
This policy ensures transparency and accountability in the compensation process and provides guidelines for eligible expenses that can be claimed.
03
It is necessary for clergy members who wish to receive financial support or reimbursement for various costs related to their ministry.
Fill
form
: Try Risk Free
For pdfFiller’s FAQs
Below is a list of the most common customer questions. If you can’t find an answer to your question, please don’t hesitate to reach out to us.
How can I edit clergy reimbursement policy and on a smartphone?
You can do so easily with pdfFiller’s applications for iOS and Android devices, which can be found at the Apple Store and Google Play Store, respectively. Alternatively, you can get the app on our web page: https://edit-pdf-ios-android.pdffiller.com/. Install the application, log in, and start editing clergy reimbursement policy and right away.
How do I fill out clergy reimbursement policy and using my mobile device?
Use the pdfFiller mobile app to fill out and sign clergy reimbursement policy and. Visit our website (https://edit-pdf-ios-android.pdffiller.com/) to learn more about our mobile applications, their features, and how to get started.
How can I fill out clergy reimbursement policy and on an iOS device?
Make sure you get and install the pdfFiller iOS app. Next, open the app and log in or set up an account to use all of the solution's editing tools. If you want to open your clergy reimbursement policy and, you can upload it from your device or cloud storage, or you can type the document's URL into the box on the right. After you fill in all of the required fields in the document and eSign it, if that is required, you can save or share it with other people.
What is clergy reimbursement policy?
Clergy reimbursement policy refers to the guidelines and procedures set forth by a church or religious organization for reimbursing clergy members for their expenses.
Who is required to file clergy reimbursement policy?
Clergy members who incur expenses as part of their duties and seek reimbursement from their church or religious organization are required to file clergy reimbursement policy.
How to fill out clergy reimbursement policy?
Clergy members can fill out clergy reimbursement policy by detailing their expenses, providing relevant receipts or documentation, and submitting the form to the appropriate department or individual within the church.
What is the purpose of clergy reimbursement policy?
The purpose of clergy reimbursement policy is to ensure transparency, accountability, and proper documentation of clergy members' expenses and reimbursements.
What information must be reported on clergy reimbursement policy?
The clergy reimbursement policy must include details of the expenses incurred, dates of expenses, purpose of expenses, amounts spent, and any supporting documentation or receipts.
Fill out your clergy reimbursement policy and online with pdfFiller!
pdfFiller is an end-to-end solution for managing, creating, and editing documents and forms in the cloud. Save time and hassle by preparing your tax forms online.

Clergy Reimbursement Policy And is not the form you're looking for?Search for another form here.
Relevant keywords
Related Forms
If you believe that this page should be taken down, please follow our DMCA take down process
here
.
This form may include fields for payment information. Data entered in these fields is not covered by PCI DSS compliance.