
Get the free Oil Enforcement and Compliance Compendium Volume 1
Show details
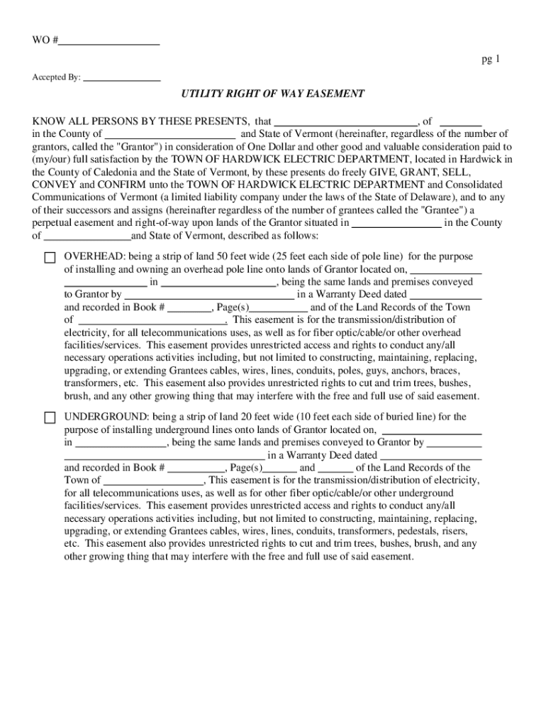
TO # pg 1 Accepted By:UTILITY RIGHT OF WAY EASEMENT KNOW ALL PERSONS BY THESE PRESENTS, that, of in the County of and State of Vermont (hereinafter, regardless of the number of granters, called the
We are not affiliated with any brand or entity on this form
Get, Create, Make and Sign oil enforcement and compliance

Edit your oil enforcement and compliance form online
Type text, complete fillable fields, insert images, highlight or blackout data for discretion, add comments, and more.

Add your legally-binding signature
Draw or type your signature, upload a signature image, or capture it with your digital camera.

Share your form instantly
Email, fax, or share your oil enforcement and compliance form via URL. You can also download, print, or export forms to your preferred cloud storage service.
Editing oil enforcement and compliance online
Follow the steps down below to benefit from the PDF editor's expertise:
1
Register the account. Begin by clicking Start Free Trial and create a profile if you are a new user.
2
Upload a file. Select Add New on your Dashboard and upload a file from your device or import it from the cloud, online, or internal mail. Then click Edit.
3
Edit oil enforcement and compliance. Add and replace text, insert new objects, rearrange pages, add watermarks and page numbers, and more. Click Done when you are finished editing and go to the Documents tab to merge, split, lock or unlock the file.
4
Get your file. Select the name of your file in the docs list and choose your preferred exporting method. You can download it as a PDF, save it in another format, send it by email, or transfer it to the cloud.
Uncompromising security for your PDF editing and eSignature needs
Your private information is safe with pdfFiller. We employ end-to-end encryption, secure cloud storage, and advanced access control to protect your documents and maintain regulatory compliance.
How to fill out oil enforcement and compliance

How to fill out oil enforcement and compliance
01
Start by familiarizing yourself with the oil enforcement and compliance regulations applicable in your jurisdiction.
02
Obtain the necessary permits and licenses required for oil production and operations.
03
Develop a comprehensive compliance program that includes regular monitoring, reporting, and corrective actions.
04
Ensure proper documentation and record-keeping to demonstrate compliance with regulations.
05
Train and educate personnel involved in oil production and operations on compliance requirements.
06
Implement effective spill prevention and response measures.
07
Stay updated with the latest changes in oil enforcement and compliance regulations and make necessary adjustments to your operations.
Who needs oil enforcement and compliance?
01
Oil companies and operators involved in exploration, production, refining, and distribution of oil.
02
Government regulatory agencies responsible for overseeing oil operations and ensuring compliance.
03
Environmental organizations and activists advocating for sustainable and responsible oil practices.
04
Communities living near oil production sites who are affected by the environmental and health impacts of oil operations.
Fill
form
: Try Risk Free
For pdfFiller’s FAQs
Below is a list of the most common customer questions. If you can’t find an answer to your question, please don’t hesitate to reach out to us.
How can I modify oil enforcement and compliance without leaving Google Drive?
People who need to keep track of documents and fill out forms quickly can connect PDF Filler to their Google Docs account. This means that they can make, edit, and sign documents right from their Google Drive. Make your oil enforcement and compliance into a fillable form that you can manage and sign from any internet-connected device with this add-on.
How do I edit oil enforcement and compliance straight from my smartphone?
The pdfFiller apps for iOS and Android smartphones are available in the Apple Store and Google Play Store. You may also get the program at https://edit-pdf-ios-android.pdffiller.com/. Open the web app, sign in, and start editing oil enforcement and compliance.
How do I complete oil enforcement and compliance on an Android device?
Complete your oil enforcement and compliance and other papers on your Android device by using the pdfFiller mobile app. The program includes all of the necessary document management tools, such as editing content, eSigning, annotating, sharing files, and so on. You will be able to view your papers at any time as long as you have an internet connection.
What is oil enforcement and compliance?
Oil enforcement and compliance refers to the regulations and guidelines set by governing bodies to ensure that entities involved in the oil industry adhere to specific requirements and standards.
Who is required to file oil enforcement and compliance?
Entities and individuals involved in the oil industry, such as oil companies, refineries, and distributors, are required to file oil enforcement and compliance.
How to fill out oil enforcement and compliance?
Oil enforcement and compliance forms can usually be filled out electronically or manually, depending on the requirements set by the governing body. Detailed instructions are provided on the forms.
What is the purpose of oil enforcement and compliance?
The purpose of oil enforcement and compliance is to regulate and monitor activities in the oil industry to ensure environmental protection, safety, and adherence to laws and regulations.
What information must be reported on oil enforcement and compliance?
Information such as production volumes, release incidents, emissions, waste management, safety protocols, and compliance with regulations must be reported on oil enforcement and compliance forms.
Fill out your oil enforcement and compliance online with pdfFiller!
pdfFiller is an end-to-end solution for managing, creating, and editing documents and forms in the cloud. Save time and hassle by preparing your tax forms online.

Oil Enforcement And Compliance is not the form you're looking for?Search for another form here.
Relevant keywords
Related Forms
If you believe that this page should be taken down, please follow our DMCA take down process
here
.
This form may include fields for payment information. Data entered in these fields is not covered by PCI DSS compliance.