
Get the free PLEXOS benchmarking, action plan window results vs
Show details
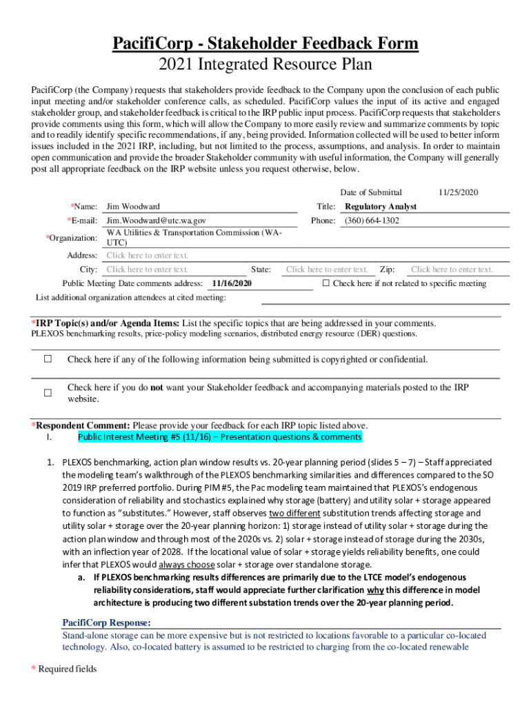
PacifiCorp Stakeholder Feedback Form 2021 Integrated Resource Plan PacifiCorp (the Company) requests that stakeholders provide feedback to the Company upon the conclusion of each public input meeting
We are not affiliated with any brand or entity on this form
Get, Create, Make and Sign plexos benchmarking action plan

Edit your plexos benchmarking action plan form online
Type text, complete fillable fields, insert images, highlight or blackout data for discretion, add comments, and more.

Add your legally-binding signature
Draw or type your signature, upload a signature image, or capture it with your digital camera.

Share your form instantly
Email, fax, or share your plexos benchmarking action plan form via URL. You can also download, print, or export forms to your preferred cloud storage service.
How to edit plexos benchmarking action plan online
Use the instructions below to start using our professional PDF editor:
1
Log in. Click Start Free Trial and create a profile if necessary.
2
Upload a document. Select Add New on your Dashboard and transfer a file into the system in one of the following ways: by uploading it from your device or importing from the cloud, web, or internal mail. Then, click Start editing.
3
Edit plexos benchmarking action plan. Replace text, adding objects, rearranging pages, and more. Then select the Documents tab to combine, divide, lock or unlock the file.
4
Save your file. Select it from your list of records. Then, move your cursor to the right toolbar and choose one of the exporting options. You can save it in multiple formats, download it as a PDF, send it by email, or store it in the cloud, among other things.
pdfFiller makes working with documents easier than you could ever imagine. Create an account to find out for yourself how it works!
Uncompromising security for your PDF editing and eSignature needs
Your private information is safe with pdfFiller. We employ end-to-end encryption, secure cloud storage, and advanced access control to protect your documents and maintain regulatory compliance.
How to fill out plexos benchmarking action plan

How to fill out plexos benchmarking action plan
01
Start by reviewing the current state of your organization or project.
02
Identify the goals and objectives you want to achieve through benchmarking.
03
Determine the key performance indicators (KPIs) that will be used to measure progress.
04
Research and gather benchmarking data from relevant sources.
05
Analyze the benchmarking data to identify areas for improvement.
06
Develop an action plan that outlines the specific steps and strategies needed to achieve the desired goals.
07
Assign responsibilities and set deadlines for each task in the action plan.
08
Implement the action plan and track progress regularly.
09
Monitor and evaluate the outcomes of the benchmarking action plan.
10
Continuously update and refine the action plan based on the results and feedback received.
11
Communicate the progress and results of the benchmarking action plan to stakeholders.
Who needs plexos benchmarking action plan?
01
Organizations or projects that want to improve their performance and achieve higher standards can benefit from using plexos benchmarking action plan.
02
It is particularly useful for businesses looking to identify and implement best practices in their industry.
03
Managers, team leaders, and decision-makers who want to make data-driven decisions and optimize their operations can also benefit from using plexos benchmarking action plan.
Fill
form
: Try Risk Free
For pdfFiller’s FAQs
Below is a list of the most common customer questions. If you can’t find an answer to your question, please don’t hesitate to reach out to us.
How can I send plexos benchmarking action plan for eSignature?
Once you are ready to share your plexos benchmarking action plan, you can easily send it to others and get the eSigned document back just as quickly. Share your PDF by email, fax, text message, or USPS mail, or notarize it online. You can do all of this without ever leaving your account.
How do I edit plexos benchmarking action plan straight from my smartphone?
You may do so effortlessly with pdfFiller's iOS and Android apps, which are available in the Apple Store and Google Play Store, respectively. You may also obtain the program from our website: https://edit-pdf-ios-android.pdffiller.com/. Open the application, sign in, and begin editing plexos benchmarking action plan right away.
How do I fill out plexos benchmarking action plan using my mobile device?
On your mobile device, use the pdfFiller mobile app to complete and sign plexos benchmarking action plan. Visit our website (https://edit-pdf-ios-android.pdffiller.com/) to discover more about our mobile applications, the features you'll have access to, and how to get started.
What is plexos benchmarking action plan?
Plexos benchmarking action plan is a strategic plan to compare performance metrics against industry standards to identify areas for improvement.
Who is required to file plexos benchmarking action plan?
All companies within the industry sector are required to file plexos benchmarking action plan.
How to fill out plexos benchmarking action plan?
Fill out the plexos benchmarking action plan by providing detailed information about the company's performance metrics, objectives, and strategies for improvement.
What is the purpose of plexos benchmarking action plan?
The purpose of plexos benchmarking action plan is to improve performance by comparing against industry benchmarks and implementing strategies for better results.
What information must be reported on plexos benchmarking action plan?
Information such as key performance indicators, goals, strategies, and action steps must be reported on plexos benchmarking action plan.
Fill out your plexos benchmarking action plan online with pdfFiller!
pdfFiller is an end-to-end solution for managing, creating, and editing documents and forms in the cloud. Save time and hassle by preparing your tax forms online.

Plexos Benchmarking Action Plan is not the form you're looking for?Search for another form here.
Relevant keywords
Related Forms
If you believe that this page should be taken down, please follow our DMCA take down process
here
.
This form may include fields for payment information. Data entered in these fields is not covered by PCI DSS compliance.