
Get the free Central Credit Union of Florida - Pensacola's Best Credit ...
Show details
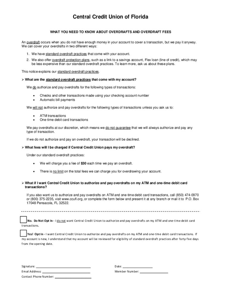
Central Credit Union of Florida
WHAT YOU NEED TO KNOW ABOUT OVERDRAFTS AND OVERDRAFT FEES
An overdraft occurs when you do not have enough money in your account to cover a transaction, but we pay it
We are not affiliated with any brand or entity on this form
Get, Create, Make and Sign central credit union of

Edit your central credit union of form online
Type text, complete fillable fields, insert images, highlight or blackout data for discretion, add comments, and more.

Add your legally-binding signature
Draw or type your signature, upload a signature image, or capture it with your digital camera.

Share your form instantly
Email, fax, or share your central credit union of form via URL. You can also download, print, or export forms to your preferred cloud storage service.
How to edit central credit union of online
To use our professional PDF editor, follow these steps:
1
Register the account. Begin by clicking Start Free Trial and create a profile if you are a new user.
2
Prepare a file. Use the Add New button to start a new project. Then, using your device, upload your file to the system by importing it from internal mail, the cloud, or adding its URL.
3
Edit central credit union of. Add and replace text, insert new objects, rearrange pages, add watermarks and page numbers, and more. Click Done when you are finished editing and go to the Documents tab to merge, split, lock or unlock the file.
4
Save your file. Select it from your records list. Then, click the right toolbar and select one of the various exporting options: save in numerous formats, download as PDF, email, or cloud.
With pdfFiller, dealing with documents is always straightforward. Try it now!
Uncompromising security for your PDF editing and eSignature needs
Your private information is safe with pdfFiller. We employ end-to-end encryption, secure cloud storage, and advanced access control to protect your documents and maintain regulatory compliance.
How to fill out central credit union of

How to fill out central credit union of
01
Start by gathering all the necessary personal and financial information.
02
Visit the Central Credit Union of website or go to a local branch to obtain the necessary application forms.
03
Fill out the application form accurately and provide all the required information.
04
Attach any supporting documents or proof of identification as requested.
05
Review the completed application form to ensure all information is accurate and legible.
06
Submit the application form and supporting documents either online or in person at a Central Credit Union branch.
07
Wait for the application to be processed and reviewed by the credit union staff.
08
Once approved, you may need to visit the branch again to complete any additional paperwork or sign agreements.
09
Start enjoying the benefits and services offered by the Central Credit Union of.
Who needs central credit union of?
01
Anyone who is looking for a reliable financial institution to manage their banking and financial needs.
02
Individuals who value personalized customer service and competitive interest rates.
03
Small businesses or entrepreneurs in need of business banking solutions.
04
Individuals or families who are looking for a trustworthy lender for loans or mortgages.
05
Anyone who wants to take advantage of the financial products and services offered by Central Credit Union.
Fill
form
: Try Risk Free
For pdfFiller’s FAQs
Below is a list of the most common customer questions. If you can’t find an answer to your question, please don’t hesitate to reach out to us.
How can I edit central credit union of from Google Drive?
By integrating pdfFiller with Google Docs, you can streamline your document workflows and produce fillable forms that can be stored directly in Google Drive. Using the connection, you will be able to create, change, and eSign documents, including central credit union of, all without having to leave Google Drive. Add pdfFiller's features to Google Drive and you'll be able to handle your documents more effectively from any device with an internet connection.
How do I edit central credit union of in Chrome?
Get and add pdfFiller Google Chrome Extension to your browser to edit, fill out and eSign your central credit union of, which you can open in the editor directly from a Google search page in just one click. Execute your fillable documents from any internet-connected device without leaving Chrome.
Can I create an eSignature for the central credit union of in Gmail?
Upload, type, or draw a signature in Gmail with the help of pdfFiller’s add-on. pdfFiller enables you to eSign your central credit union of and other documents right in your inbox. Register your account in order to save signed documents and your personal signatures.
What is central credit union of?
Central credit union is a financial institution owned by its members who are typically tied by some common bond such as employment or residence in a particular geographic area.
Who is required to file central credit union of?
Central credit unions are required to file with the appropriate regulatory authorities.
How to fill out central credit union of?
Central credit union forms can typically be filled out electronically or on paper, following the instructions provided by the regulatory authorities.
What is the purpose of central credit union of?
The purpose of filing central credit union forms is to provide transparency and accountability in the financial operations of the credit union.
What information must be reported on central credit union of?
Central credit union forms typically require information on the credit union's financial statements, assets, liabilities, and other pertinent financial data.
Fill out your central credit union of online with pdfFiller!
pdfFiller is an end-to-end solution for managing, creating, and editing documents and forms in the cloud. Save time and hassle by preparing your tax forms online.

Central Credit Union Of is not the form you're looking for?Search for another form here.
Relevant keywords
Related Forms
If you believe that this page should be taken down, please follow our DMCA take down process
here
.
This form may include fields for payment information. Data entered in these fields is not covered by PCI DSS compliance.