
Get the free Parent's Untaxed Income Verification Form
Show details
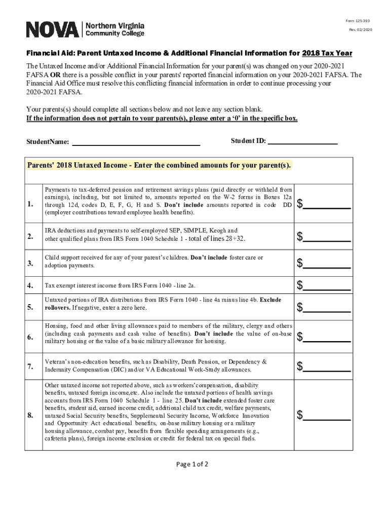
Form 125393 Rev. 02/2020Financial Aid: Parent Untamed Income & Additional Financial Information for 2018 Tax Year The Untamed Income and/or Additional Financial Information for your parent(s) was
We are not affiliated with any brand or entity on this form
Get, Create, Make and Sign parents untaxed income verification

Edit your parents untaxed income verification form online
Type text, complete fillable fields, insert images, highlight or blackout data for discretion, add comments, and more.

Add your legally-binding signature
Draw or type your signature, upload a signature image, or capture it with your digital camera.

Share your form instantly
Email, fax, or share your parents untaxed income verification form via URL. You can also download, print, or export forms to your preferred cloud storage service.
How to edit parents untaxed income verification online
Follow the guidelines below to benefit from a competent PDF editor:
1
Set up an account. If you are a new user, click Start Free Trial and establish a profile.
2
Simply add a document. Select Add New from your Dashboard and import a file into the system by uploading it from your device or importing it via the cloud, online, or internal mail. Then click Begin editing.
3
Edit parents untaxed income verification. Add and replace text, insert new objects, rearrange pages, add watermarks and page numbers, and more. Click Done when you are finished editing and go to the Documents tab to merge, split, lock or unlock the file.
4
Get your file. Select your file from the documents list and pick your export method. You may save it as a PDF, email it, or upload it to the cloud.
pdfFiller makes working with documents easier than you could ever imagine. Try it for yourself by creating an account!
Uncompromising security for your PDF editing and eSignature needs
Your private information is safe with pdfFiller. We employ end-to-end encryption, secure cloud storage, and advanced access control to protect your documents and maintain regulatory compliance.
How to fill out parents untaxed income verification

How to fill out parents untaxed income verification
01
Gather all necessary documents such as tax returns, W-2 forms, and any other income statements from the parent or parents whose untaxed income needs to be verified.
02
Start by filling out the personal information section of the verification form. This may include the parent's name, social security number, and contact information.
03
Move on to the income section and provide details of the parent's untaxed income. This could include income from sources such as rental properties, investments, or untaxed welfare benefits.
04
If the parent received any non-cash benefits or support, provide the details in the appropriate section. This could include the value of housing, food, or other non-monetary help received.
05
Make sure to accurately report all the untaxed income information requested in the form. Double-check the numbers and ensure they match the supporting documents.
06
Once the form is complete, review it carefully for any errors or omissions. Any mistakes could delay the verification process.
07
Submit the filled-out form along with the supporting documents to the relevant institution or organization requesting the verification of parents' untaxed income.
08
Keep copies of all the documents submitted for your own records.
09
Follow up with the institution or organization to ensure that they have received the form and all necessary documents.
10
If additional documents or information are required, provide them promptly to expedite the verification process.
Who needs parents untaxed income verification?
01
The parents untaxed income verification is typically required by educational institutions, particularly when applying for financial aid or scholarships. It helps determine the financial need and eligibility of the student for certain programs or assistance.
Fill
form
: Try Risk Free
For pdfFiller’s FAQs
Below is a list of the most common customer questions. If you can’t find an answer to your question, please don’t hesitate to reach out to us.
How do I modify my parents untaxed income verification in Gmail?
In your inbox, you may use pdfFiller's add-on for Gmail to generate, modify, fill out, and eSign your parents untaxed income verification and any other papers you receive, all without leaving the program. Install pdfFiller for Gmail from the Google Workspace Marketplace by visiting this link. Take away the need for time-consuming procedures and handle your papers and eSignatures with ease.
How can I get parents untaxed income verification?
The premium subscription for pdfFiller provides you with access to an extensive library of fillable forms (over 25M fillable templates) that you can download, fill out, print, and sign. You won’t have any trouble finding state-specific parents untaxed income verification and other forms in the library. Find the template you need and customize it using advanced editing functionalities.
Can I edit parents untaxed income verification on an Android device?
With the pdfFiller mobile app for Android, you may make modifications to PDF files such as parents untaxed income verification. Documents may be edited, signed, and sent directly from your mobile device. Install the app and you'll be able to manage your documents from anywhere.
What is parents untaxed income verification?
Parents untaxed income verification is a form used to verify the income of a student's parents that was not reported on their tax return.
Who is required to file parents untaxed income verification?
Parents or legal guardians of students who are applying for financial aid may be required to file parents untaxed income verification.
How to fill out parents untaxed income verification?
Parents must provide information about their untaxed income sources, such as child support received, tax-exempt interest, and untaxed IRA distributions.
What is the purpose of parents untaxed income verification?
The purpose of parents untaxed income verification is to ensure that the student's financial aid application accurately reflects their family's financial situation.
What information must be reported on parents untaxed income verification?
Parents must report details of any untaxed income they have received, including the sources and amounts.
Fill out your parents untaxed income verification online with pdfFiller!
pdfFiller is an end-to-end solution for managing, creating, and editing documents and forms in the cloud. Save time and hassle by preparing your tax forms online.

Parents Untaxed Income Verification is not the form you're looking for?Search for another form here.
Relevant keywords
Related Forms
If you believe that this page should be taken down, please follow our DMCA take down process
here
.
This form may include fields for payment information. Data entered in these fields is not covered by PCI DSS compliance.