
Get the free HUENEME ELEMENTARY SCHOOL DISTRICT/DISTRICTO ESCOLAR PRIMARIO DE HUENEME
Show details
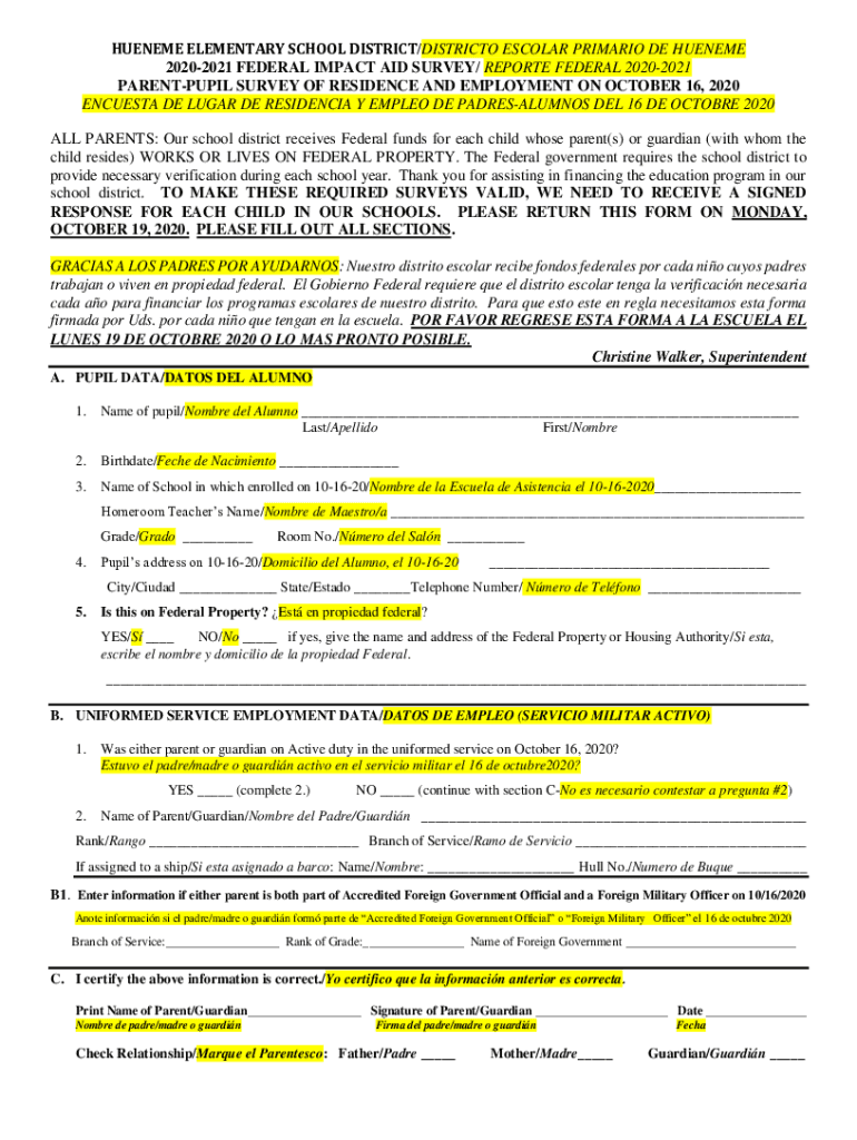
HENCE, ELEMENTARY SCHOOL DISTRICT/DISTRICT ESCOLAR PRIMARILY DE HENCE
20202021 FEDERAL IMPACT AID SURVEY/ REPORT FEDERAL 20202021
PARENTPUPIL SURVEY OF RESIDENCE AND EMPLOYMENT ON OCTOBER 16, 2020,
ENSUES
We are not affiliated with any brand or entity on this form
Get, Create, Make and Sign hueneme elementary school districtdistricto

Edit your hueneme elementary school districtdistricto form online
Type text, complete fillable fields, insert images, highlight or blackout data for discretion, add comments, and more.

Add your legally-binding signature
Draw or type your signature, upload a signature image, or capture it with your digital camera.

Share your form instantly
Email, fax, or share your hueneme elementary school districtdistricto form via URL. You can also download, print, or export forms to your preferred cloud storage service.
Editing hueneme elementary school districtdistricto online
Follow the steps down below to benefit from a competent PDF editor:
1
Set up an account. If you are a new user, click Start Free Trial and establish a profile.
2
Upload a file. Select Add New on your Dashboard and upload a file from your device or import it from the cloud, online, or internal mail. Then click Edit.
3
Edit hueneme elementary school districtdistricto. Add and change text, add new objects, move pages, add watermarks and page numbers, and more. Then click Done when you're done editing and go to the Documents tab to merge or split the file. If you want to lock or unlock the file, click the lock or unlock button.
4
Save your file. Select it from your list of records. Then, move your cursor to the right toolbar and choose one of the exporting options. You can save it in multiple formats, download it as a PDF, send it by email, or store it in the cloud, among other things.
Dealing with documents is simple using pdfFiller. Try it now!
Uncompromising security for your PDF editing and eSignature needs
Your private information is safe with pdfFiller. We employ end-to-end encryption, secure cloud storage, and advanced access control to protect your documents and maintain regulatory compliance.
How to fill out hueneme elementary school districtdistricto

How to fill out hueneme elementary school districtdistricto
01
To fill out Hueneme Elementary School District districto, follow these steps:
02
Start by gathering all the required documents and information, such as your child's birth certificate, proof of residency, and immunization records.
03
Visit the official website of Hueneme Elementary School District and navigate to the enrollment section.
04
Download the district enrollment form and carefully fill it out with accurate information about your child.
05
Attach all the necessary documents and ensure they are legible and properly organized.
06
Double-check the form to make sure all sections are completed and there are no errors or missing information.
07
Submit the enrollment form along with the supporting documents to the designated office or email address mentioned on the district's website.
08
Wait for the district to process your application and contact you regarding the enrollment status of your child.
09
If approved, follow any additional instructions provided by the district, such as attending orientation sessions or providing further documentation.
10
Once enrolled, make sure to stay updated with the district's policies, academic calendar, and any notifications or announcements.
Who needs hueneme elementary school districtdistricto?
01
Hueneme Elementary School District districto is needed by:
02
- Parents or legal guardians of children who are of school age and looking to enroll them in Hueneme Elementary School District.
03
- Students who are new to the district or transferring from another school within the district.
04
- Individuals or organizations involved in the enrollment process or seeking information about the district's enrollment procedures.
Fill
form
: Try Risk Free
For pdfFiller’s FAQs
Below is a list of the most common customer questions. If you can’t find an answer to your question, please don’t hesitate to reach out to us.
How do I modify my hueneme elementary school districtdistricto in Gmail?
hueneme elementary school districtdistricto and other documents can be changed, filled out, and signed right in your Gmail inbox. You can use pdfFiller's add-on to do this, as well as other things. When you go to Google Workspace, you can find pdfFiller for Gmail. You should use the time you spend dealing with your documents and eSignatures for more important things, like going to the gym or going to the dentist.
How do I make changes in hueneme elementary school districtdistricto?
With pdfFiller, it's easy to make changes. Open your hueneme elementary school districtdistricto in the editor, which is very easy to use and understand. When you go there, you'll be able to black out and change text, write and erase, add images, draw lines, arrows, and more. You can also add sticky notes and text boxes.
How do I edit hueneme elementary school districtdistricto on an Android device?
The pdfFiller app for Android allows you to edit PDF files like hueneme elementary school districtdistricto. Mobile document editing, signing, and sending. Install the app to ease document management anywhere.
What is hueneme elementary school districtdistricto?
Hueneme Elementary School District is a school district located in California, USA.
Who is required to file hueneme elementary school districtdistricto?
All employees and contractors who receive income from the Hueneme Elementary School District are required to file.
How to fill out hueneme elementary school districtdistricto?
The form can be filled out online or submitted in person to the district office.
What is the purpose of hueneme elementary school districtdistricto?
The purpose is to report income received from the school district for tax purposes.
What information must be reported on hueneme elementary school districtdistricto?
All sources of income, including salaries, bonuses, and other forms of compensation, must be reported.
Fill out your hueneme elementary school districtdistricto online with pdfFiller!
pdfFiller is an end-to-end solution for managing, creating, and editing documents and forms in the cloud. Save time and hassle by preparing your tax forms online.

Hueneme Elementary School Districtdistricto is not the form you're looking for?Search for another form here.
Relevant keywords
Related Forms
If you believe that this page should be taken down, please follow our DMCA take down process
here
.
This form may include fields for payment information. Data entered in these fields is not covered by PCI DSS compliance.