
Get the free (PDF) The Sustainable Business Case BookAbobakr Ramadhan ...
Show details
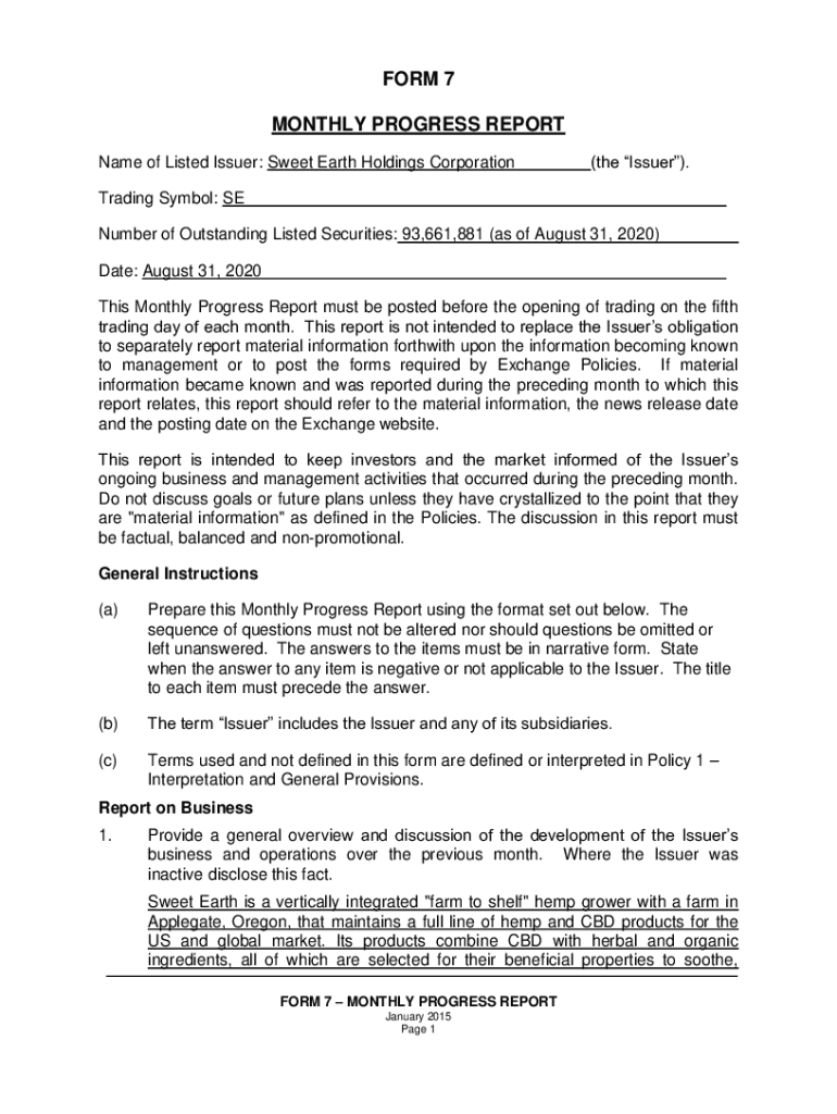
FORM 7
MONTHLY PROGRESS REPORT
Name of Listed Issuer: Sweet Earth Holdings Corporation(the Issuer). Trading Symbol: SE
Number of Outstanding Listed Securities: 93,661,881 (as of August 31, 2020)
Date:
We are not affiliated with any brand or entity on this form
Get, Create, Make and Sign pdf form sustainable business

Edit your pdf form sustainable business form online
Type text, complete fillable fields, insert images, highlight or blackout data for discretion, add comments, and more.

Add your legally-binding signature
Draw or type your signature, upload a signature image, or capture it with your digital camera.

Share your form instantly
Email, fax, or share your pdf form sustainable business form via URL. You can also download, print, or export forms to your preferred cloud storage service.
How to edit pdf form sustainable business online
To use the services of a skilled PDF editor, follow these steps below:
1
Set up an account. If you are a new user, click Start Free Trial and establish a profile.
2
Simply add a document. Select Add New from your Dashboard and import a file into the system by uploading it from your device or importing it via the cloud, online, or internal mail. Then click Begin editing.
3
Edit pdf form sustainable business. Rearrange and rotate pages, insert new and alter existing texts, add new objects, and take advantage of other helpful tools. Click Done to apply changes and return to your Dashboard. Go to the Documents tab to access merging, splitting, locking, or unlocking functions.
4
Save your file. Select it from your list of records. Then, move your cursor to the right toolbar and choose one of the exporting options. You can save it in multiple formats, download it as a PDF, send it by email, or store it in the cloud, among other things.
With pdfFiller, it's always easy to work with documents. Try it out!
Uncompromising security for your PDF editing and eSignature needs
Your private information is safe with pdfFiller. We employ end-to-end encryption, secure cloud storage, and advanced access control to protect your documents and maintain regulatory compliance.
How to fill out pdf form sustainable business

How to fill out pdf form sustainable business
01
Open the PDF form in a PDF editor or viewer that supports form filling.
02
Click on the input field or checkbox that you want to fill out.
03
Type in the necessary information in the input field.
04
For checkboxes, click on the checkbox to mark it as checked.
05
Continue filling out the form by following the same process for other input fields or checkboxes.
06
In case of dropdown menus, click on the dropdown arrow and select the appropriate option.
07
Review the filled-out form to ensure all necessary fields are completed.
08
Save the filled-out form to your desired location, either by clicking on the Save button or using the Save option in the File menu.
Who needs pdf form sustainable business?
01
Small businesses
02
Entrepreneurs
03
Sustainability consultants
04
Environmental organizations
05
Government agencies
06
Businesses implementing sustainable practices
Fill
form
: Try Risk Free
For pdfFiller’s FAQs
Below is a list of the most common customer questions. If you can’t find an answer to your question, please don’t hesitate to reach out to us.
Can I create an electronic signature for the pdf form sustainable business in Chrome?
As a PDF editor and form builder, pdfFiller has a lot of features. It also has a powerful e-signature tool that you can add to your Chrome browser. With our extension, you can type, draw, or take a picture of your signature with your webcam to make your legally-binding eSignature. Choose how you want to sign your pdf form sustainable business and you'll be done in minutes.
Can I create an eSignature for the pdf form sustainable business in Gmail?
When you use pdfFiller's add-on for Gmail, you can add or type a signature. You can also draw a signature. pdfFiller lets you eSign your pdf form sustainable business and other documents right from your email. In order to keep signed documents and your own signatures, you need to sign up for an account.
How do I edit pdf form sustainable business straight from my smartphone?
You can easily do so with pdfFiller's apps for iOS and Android devices, which can be found at the Apple Store and the Google Play Store, respectively. You can use them to fill out PDFs. We have a website where you can get the app, but you can also get it there. When you install the app, log in, and start editing pdf form sustainable business, you can start right away.
What is pdf form sustainable business?
PDF form sustainable business is a document that allows businesses to report on their sustainability practices, efforts, and initiatives.
Who is required to file pdf form sustainable business?
Companies and organizations that are committed to sustainable and responsible business practices are required to file the PDF form sustainable business.
How to fill out pdf form sustainable business?
To fill out the PDF form sustainable business, companies need to provide information about their sustainability strategies, objectives, achievements, and future goals.
What is the purpose of pdf form sustainable business?
The purpose of the PDF form sustainable business is to encourage transparency and accountability in businesses' sustainability efforts, and to promote sustainable practices.
What information must be reported on pdf form sustainable business?
Companies must report on their sustainability initiatives, environmental impacts, social responsibility efforts, and progress towards achieving sustainability goals.
Fill out your pdf form sustainable business online with pdfFiller!
pdfFiller is an end-to-end solution for managing, creating, and editing documents and forms in the cloud. Save time and hassle by preparing your tax forms online.

Pdf Form Sustainable Business is not the form you're looking for?Search for another form here.
Relevant keywords
Related Forms
If you believe that this page should be taken down, please follow our DMCA take down process
here
.
This form may include fields for payment information. Data entered in these fields is not covered by PCI DSS compliance.