
Get the free form along your education and ... - realestate.utah.gov - realestate utah
Show details
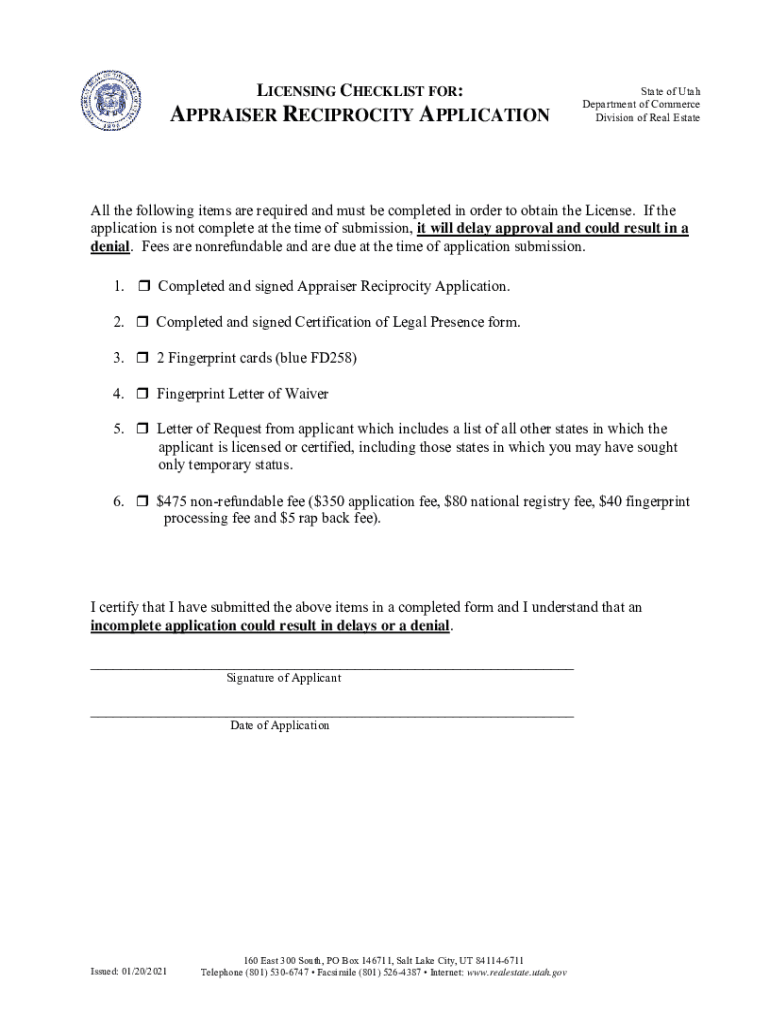
LICENSING CHECKLIST FOR: APPRAISER RECIPROCITY APPLICATIONState of Utah Department of Commerce Division of Real Estately the following items are required and must be completed in order to obtain the
We are not affiliated with any brand or entity on this form
Get, Create, Make and Sign form along your education

Edit your form along your education form online
Type text, complete fillable fields, insert images, highlight or blackout data for discretion, add comments, and more.

Add your legally-binding signature
Draw or type your signature, upload a signature image, or capture it with your digital camera.

Share your form instantly
Email, fax, or share your form along your education form via URL. You can also download, print, or export forms to your preferred cloud storage service.
How to edit form along your education online
Follow the guidelines below to use a professional PDF editor:
1
Create an account. Begin by choosing Start Free Trial and, if you are a new user, establish a profile.
2
Upload a document. Select Add New on your Dashboard and transfer a file into the system in one of the following ways: by uploading it from your device or importing from the cloud, web, or internal mail. Then, click Start editing.
3
Edit form along your education. Rearrange and rotate pages, add and edit text, and use additional tools. To save changes and return to your Dashboard, click Done. The Documents tab allows you to merge, divide, lock, or unlock files.
4
Save your file. Select it from your list of records. Then, move your cursor to the right toolbar and choose one of the exporting options. You can save it in multiple formats, download it as a PDF, send it by email, or store it in the cloud, among other things.
Dealing with documents is always simple with pdfFiller.
Uncompromising security for your PDF editing and eSignature needs
Your private information is safe with pdfFiller. We employ end-to-end encryption, secure cloud storage, and advanced access control to protect your documents and maintain regulatory compliance.
How to fill out form along your education

How to fill out form along your education
01
To fill out a form along your education, follow these steps:
02
Start by gathering all the necessary information that will be required in the form.
03
Begin by providing your personal details such as your full name, date of birth, and contact information.
04
Specify your educational background, including the schools or institutions you attended, the dates of enrollment, and the degrees or certifications obtained.
05
If applicable, mention any honors or awards received during your education.
06
Include any relevant work experience or internships that are related to your education.
07
Provide details of any specialized training or skills acquired during your educational journey.
08
Finally, proofread the form for any errors or missing information before submitting it.
09
Follow these steps, and you will successfully fill out the form along your education.
Who needs form along your education?
01
Anyone who is currently undergoing or has completed their education may need to fill out a form along their education journey.
02
This includes students, graduates, and professionals who are required to provide their educational information for various purposes such as job applications, college admissions, scholarships, certifications, or licensing.
03
Employers, educational institutions, and government agencies often require individuals to fill out a form along their education to assess eligibility, qualifications, or to maintain records.
04
In summary, anyone who needs to document or provide information about their educational background may require filling out a form along their education.
Fill
form
: Try Risk Free
For pdfFiller’s FAQs
Below is a list of the most common customer questions. If you can’t find an answer to your question, please don’t hesitate to reach out to us.
How do I edit form along your education in Chrome?
form along your education can be edited, filled out, and signed with the pdfFiller Google Chrome Extension. You can open the editor right from a Google search page with just one click. Fillable documents can be done on any web-connected device without leaving Chrome.
Can I edit form along your education on an iOS device?
No, you can't. With the pdfFiller app for iOS, you can edit, share, and sign form along your education right away. At the Apple Store, you can buy and install it in a matter of seconds. The app is free, but you will need to set up an account if you want to buy a subscription or start a free trial.
Can I edit form along your education on an Android device?
Yes, you can. With the pdfFiller mobile app for Android, you can edit, sign, and share form along your education on your mobile device from any location; only an internet connection is needed. Get the app and start to streamline your document workflow from anywhere.
What is form along your education?
Form along your education is a document that records your academic progress and achievements.
Who is required to file form along your education?
Students are required to file form along their education.
How to fill out form along your education?
Form along your education can be filled out online or on paper, following the instructions provided.
What is the purpose of form along your education?
The purpose of form along your education is to track and monitor the educational journey of students.
What information must be reported on form along your education?
Form along your education must report courses taken, grades received, and any extracurricular activities.
Fill out your form along your education online with pdfFiller!
pdfFiller is an end-to-end solution for managing, creating, and editing documents and forms in the cloud. Save time and hassle by preparing your tax forms online.

Form Along Your Education is not the form you're looking for?Search for another form here.
Relevant keywords
Related Forms
If you believe that this page should be taken down, please follow our DMCA take down process
here
.
This form may include fields for payment information. Data entered in these fields is not covered by PCI DSS compliance.