
Get the free Trading Symbol: GLL
Show details
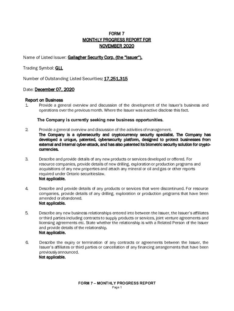
FORM 7
MONTHLY PROGRESS REPORT FOR
NOVEMBER 2020
Name of Listed Issuer: Gallagher Security Corp. (the Issuer).
Trading Symbol: ALL
Number of Outstanding Listed Securities: 17,251,315
Date: December
We are not affiliated with any brand or entity on this form
Get, Create, Make and Sign trading symbol gll

Edit your trading symbol gll form online
Type text, complete fillable fields, insert images, highlight or blackout data for discretion, add comments, and more.

Add your legally-binding signature
Draw or type your signature, upload a signature image, or capture it with your digital camera.

Share your form instantly
Email, fax, or share your trading symbol gll form via URL. You can also download, print, or export forms to your preferred cloud storage service.
How to edit trading symbol gll online
To use our professional PDF editor, follow these steps:
1
Log in to account. Start Free Trial and sign up a profile if you don't have one.
2
Prepare a file. Use the Add New button to start a new project. Then, using your device, upload your file to the system by importing it from internal mail, the cloud, or adding its URL.
3
Edit trading symbol gll. Replace text, adding objects, rearranging pages, and more. Then select the Documents tab to combine, divide, lock or unlock the file.
4
Save your file. Choose it from the list of records. Then, shift the pointer to the right toolbar and select one of the several exporting methods: save it in multiple formats, download it as a PDF, email it, or save it to the cloud.
With pdfFiller, it's always easy to work with documents.
Uncompromising security for your PDF editing and eSignature needs
Your private information is safe with pdfFiller. We employ end-to-end encryption, secure cloud storage, and advanced access control to protect your documents and maintain regulatory compliance.
How to fill out trading symbol gll

How to fill out trading symbol gll
01
To fill out the trading symbol gll, follow these steps:
02
Open your trading platform or broker's website.
03
Navigate to the 'Trading' or 'Trade' section.
04
Look for the option to enter the trading symbol or ticker.
05
Enter 'gll' in the trading symbol field.
06
Adjust the required parameters such as quantity or order type as per your trading strategy.
07
Review your order details and confirm the trade.
08
Monitor the trading symbol 'gll' for market movements and manage your positions accordingly.
Who needs trading symbol gll?
01
Traders and investors who are interested in trading or investing in the specific instrument represented by the trading symbol 'gll' would need it.
02
Particularly, those who are interested in trading or tracking the performance of 'gll' would be the ones who need the trading symbol.
Fill
form
: Try Risk Free
For pdfFiller’s FAQs
Below is a list of the most common customer questions. If you can’t find an answer to your question, please don’t hesitate to reach out to us.
How can I send trading symbol gll for eSignature?
When you're ready to share your trading symbol gll, you can swiftly email it to others and receive the eSigned document back. You may send your PDF through email, fax, text message, or USPS mail, or you can notarize it online. All of this may be done without ever leaving your account.
How do I fill out trading symbol gll using my mobile device?
The pdfFiller mobile app makes it simple to design and fill out legal paperwork. Complete and sign trading symbol gll and other papers using the app. Visit pdfFiller's website to learn more about the PDF editor's features.
How do I complete trading symbol gll on an Android device?
On Android, use the pdfFiller mobile app to finish your trading symbol gll. Adding, editing, deleting text, signing, annotating, and more are all available with the app. All you need is a smartphone and internet.
What is trading symbol gll?
The trading symbol gll represents the stock symbol of a company listed on the stock exchange.
Who is required to file trading symbol gll?
Companies listed on the stock exchange are required to file trading symbol gll.
How to fill out trading symbol gll?
Trading symbol gll can be filled out using the appropriate forms provided by the stock exchange where the company is listed.
What is the purpose of trading symbol gll?
The purpose of trading symbol gll is to uniquely identify a specific company's stock for trading purposes.
What information must be reported on trading symbol gll?
Trading symbol gll must report information such as company name, stock price, trading volume, and market capitalization.
Fill out your trading symbol gll online with pdfFiller!
pdfFiller is an end-to-end solution for managing, creating, and editing documents and forms in the cloud. Save time and hassle by preparing your tax forms online.

Trading Symbol Gll is not the form you're looking for?Search for another form here.
Relevant keywords
Related Forms
If you believe that this page should be taken down, please follow our DMCA take down process
here
.
This form may include fields for payment information. Data entered in these fields is not covered by PCI DSS compliance.