Get the free Schoharie 12, X012167, Notice of Sale of Forest Products. timber sale contract
Show details
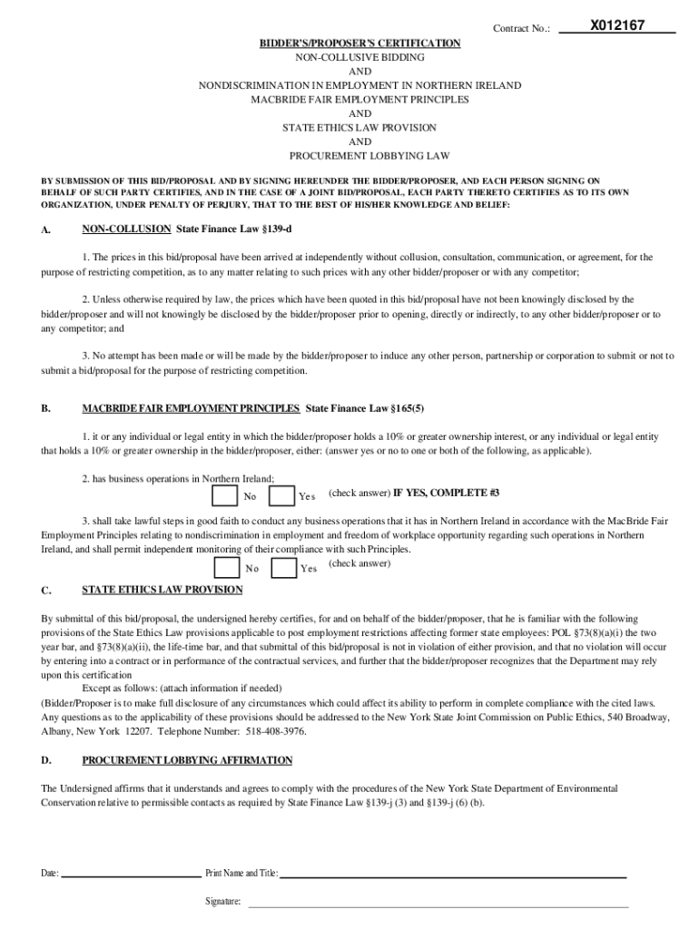
New York State Department of Environmental Conservation Division of Lands and Forests, Region 4 65561 State Highway 10, Suite 1 Stamford, New York 121679503 (607) 6527365: Website: www.dec.ny.govContract
We are not affiliated with any brand or entity on this form
Get, Create, Make and Sign schoharie 12 x012167 notice
Edit your schoharie 12 x012167 notice form online
Type text, complete fillable fields, insert images, highlight or blackout data for discretion, add comments, and more.
Add your legally-binding signature
Draw or type your signature, upload a signature image, or capture it with your digital camera.
Share your form instantly
Email, fax, or share your schoharie 12 x012167 notice form via URL. You can also download, print, or export forms to your preferred cloud storage service.
Editing schoharie 12 x012167 notice online
To use the services of a skilled PDF editor, follow these steps below:
1
Create an account. Begin by choosing Start Free Trial and, if you are a new user, establish a profile.
2
Simply add a document. Select Add New from your Dashboard and import a file into the system by uploading it from your device or importing it via the cloud, online, or internal mail. Then click Begin editing.
3
Edit schoharie 12 x012167 notice. Rearrange and rotate pages, insert new and alter existing texts, add new objects, and take advantage of other helpful tools. Click Done to apply changes and return to your Dashboard. Go to the Documents tab to access merging, splitting, locking, or unlocking functions.
4
Save your file. Choose it from the list of records. Then, shift the pointer to the right toolbar and select one of the several exporting methods: save it in multiple formats, download it as a PDF, email it, or save it to the cloud.
pdfFiller makes dealing with documents a breeze. Create an account to find out!
Uncompromising security for your PDF editing and eSignature needs
Your private information is safe with pdfFiller. We employ end-to-end encryption, secure cloud storage, and advanced access control to protect your documents and maintain regulatory compliance.
How to fill out schoharie 12 x012167 notice
How to fill out schoharie 12 x012167 notice
01
Start by gathering all the required information and forms needed to fill out the Schoharie 12 x012167 notice.
02
Review the notice carefully to understand the purpose and requirements.
03
Fill out the notice following the provided guidelines, ensuring accuracy and completeness.
04
Double-check all the filled-out information for any errors or mistakes.
05
Sign and date the notice where indicated.
06
Make copies of the filled-out notice for your records.
07
Submit the completed Schoharie 12 x012167 notice to the appropriate recipient or authority as instructed.
08
Keep a copy of the submitted notice and any related documents for future reference.
Who needs schoharie 12 x012167 notice?
01
The Schoharie 12 x012167 notice is required by individuals or organizations who need to inform or give notice regarding a specific matter to the Schoharie 12 x012167 authority or recipient. The exact requirement may vary, so it is advisable to consult any specific regulations or guidelines related to the notice for accurate information on who needs to complete and submit it.
Fill
form
: Try Risk Free
For pdfFiller’s FAQs
Below is a list of the most common customer questions. If you can’t find an answer to your question, please don’t hesitate to reach out to us.
How can I edit schoharie 12 x012167 notice from Google Drive?
Simplify your document workflows and create fillable forms right in Google Drive by integrating pdfFiller with Google Docs. The integration will allow you to create, modify, and eSign documents, including schoharie 12 x012167 notice, without leaving Google Drive. Add pdfFiller’s functionalities to Google Drive and manage your paperwork more efficiently on any internet-connected device.
Where do I find schoharie 12 x012167 notice?
It's simple with pdfFiller, a full online document management tool. Access our huge online form collection (over 25M fillable forms are accessible) and find the schoharie 12 x012167 notice in seconds. Open it immediately and begin modifying it with powerful editing options.
How do I edit schoharie 12 x012167 notice in Chrome?
Install the pdfFiller Google Chrome Extension to edit schoharie 12 x012167 notice and other documents straight from Google search results. When reading documents in Chrome, you may edit them. Create fillable PDFs and update existing PDFs using pdfFiller.
What is schoharie 12 x012167 notice?
Schoharie 12 x012167 notice is a form used to report certain information regarding property ownership and taxes in Schoharie County, New York.
Who is required to file schoharie 12 x012167 notice?
Property owners in Schoharie County, New York are required to file the schoharie 12 x012167 notice.
How to fill out schoharie 12 x012167 notice?
To fill out the schoharie 12 x012167 notice, property owners need to provide information such as property address, owner's name, contact information, and details about the property's assessed value and taxes.
What is the purpose of schoharie 12 x012167 notice?
The purpose of the schoharie 12 x012167 notice is to ensure that property owners are reporting accurate information about their properties for tax assessment purposes.
What information must be reported on schoharie 12 x012167 notice?
Property owners must report information such as property address, owner's name, contact information, and details about the property's assessed value and taxes.
Fill out your schoharie 12 x012167 notice online with pdfFiller!
pdfFiller is an end-to-end solution for managing, creating, and editing documents and forms in the cloud. Save time and hassle by preparing your tax forms online.
Schoharie 12 x012167 Notice is not the form you're looking for?Search for another form here.
Relevant keywords
Related Forms
If you believe that this page should be taken down, please follow our DMCA take down process
here
.
This form may include fields for payment information. Data entered in these fields is not covered by PCI DSS compliance.