Get the free Scholarships for Students - Scholarships - Google Sites
Show details
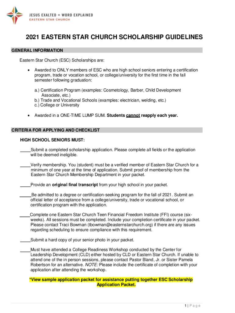
2021 EASTERN STAR CHURCH SCHOLARSHIP GUIDELINES GENERAL INFORMATION Eastern Star Church (ESC) Scholarships are: Awarded to ONLY members of ESC who are high school seniors entering a certification
We are not affiliated with any brand or entity on this form
Get, Create, Make and Sign scholarships for students
Edit your scholarships for students form online
Type text, complete fillable fields, insert images, highlight or blackout data for discretion, add comments, and more.
Add your legally-binding signature
Draw or type your signature, upload a signature image, or capture it with your digital camera.
Share your form instantly
Email, fax, or share your scholarships for students form via URL. You can also download, print, or export forms to your preferred cloud storage service.
How to edit scholarships for students online
Here are the steps you need to follow to get started with our professional PDF editor:
1
Register the account. Begin by clicking Start Free Trial and create a profile if you are a new user.
2
Prepare a file. Use the Add New button. Then upload your file to the system from your device, importing it from internal mail, the cloud, or by adding its URL.
3
Edit scholarships for students. Rearrange and rotate pages, add new and changed texts, add new objects, and use other useful tools. When you're done, click Done. You can use the Documents tab to merge, split, lock, or unlock your files.
4
Get your file. Select your file from the documents list and pick your export method. You may save it as a PDF, email it, or upload it to the cloud.
It's easier to work with documents with pdfFiller than you could have ever thought. You can sign up for an account to see for yourself.
Uncompromising security for your PDF editing and eSignature needs
Your private information is safe with pdfFiller. We employ end-to-end encryption, secure cloud storage, and advanced access control to protect your documents and maintain regulatory compliance.
How to fill out scholarships for students
How to fill out scholarships for students
01
Research and identify potential scholarship opportunities for students.
02
Read and understand the eligibility criteria and requirements for each scholarship.
03
Gather all necessary documents and information, such as academic transcripts, letters of recommendation, and personal statements.
04
Complete the scholarship application form accurately and thoroughly.
05
Write a compelling essay or personal statement highlighting your achievements, goals, and why you deserve the scholarship.
06
Submit all required documents and the completed application on time.
07
Follow up and track the progress of your scholarship application.
08
If selected, respond promptly to any additional requirements or requests from the scholarship provider.
09
If awarded the scholarship, express gratitude and fulfill any obligations or reporting requirements outlined by the provider.
10
Continuously search for and apply for other scholarships to increase your chances of receiving financial assistance.
Who needs scholarships for students?
01
Students who are seeking financial support for their education.
02
Students who may not have sufficient funds to cover tuition fees, books, and other educational expenses.
03
Students who show strong academic potential and deserve recognition and assistance.
04
Students from low-income backgrounds or disadvantaged situations.
05
Students who wish to minimize student loan debt.
06
Students who want to pursue higher education but lack financial resources.
07
Students who believe in the value of education and its potential to transform lives.
08
Students who want to focus more on their studies and extracurricular activities rather than worrying about financial constraints.
Fill
form
: Try Risk Free
For pdfFiller’s FAQs
Below is a list of the most common customer questions. If you can’t find an answer to your question, please don’t hesitate to reach out to us.
How do I edit scholarships for students online?
pdfFiller not only lets you change the content of your files, but you can also change the number and order of pages. Upload your scholarships for students to the editor and make any changes in a few clicks. The editor lets you black out, type, and erase text in PDFs. You can also add images, sticky notes, and text boxes, as well as many other things.
Can I create an eSignature for the scholarships for students in Gmail?
When you use pdfFiller's add-on for Gmail, you can add or type a signature. You can also draw a signature. pdfFiller lets you eSign your scholarships for students and other documents right from your email. In order to keep signed documents and your own signatures, you need to sign up for an account.
Can I edit scholarships for students on an Android device?
You can edit, sign, and distribute scholarships for students on your mobile device from anywhere using the pdfFiller mobile app for Android; all you need is an internet connection. Download the app and begin streamlining your document workflow from anywhere.
What is scholarships for students?
Scholarships for students are financial aid awarded to individuals to help them pursue their education.
Who is required to file scholarships for students?
Students who are seeking financial assistance for their education are required to apply for scholarships.
How to fill out scholarships for students?
To fill out scholarships, students need to research available scholarships, complete the application form, and submit any required documents.
What is the purpose of scholarships for students?
The purpose of scholarships for students is to provide financial support to individuals who are pursuing their education.
What information must be reported on scholarships for students?
Information such as personal details, academic achievements, financial need, and any other requirements specified by the scholarship provider must be reported on scholarships.
Fill out your scholarships for students online with pdfFiller!
pdfFiller is an end-to-end solution for managing, creating, and editing documents and forms in the cloud. Save time and hassle by preparing your tax forms online.
Scholarships For Students is not the form you're looking for?Search for another form here.
Relevant keywords
Related Forms
If you believe that this page should be taken down, please follow our DMCA take down process
here
.
This form may include fields for payment information. Data entered in these fields is not covered by PCI DSS compliance.