
Get the free California Temporary Traffic Control Handbook - SCE
Show details
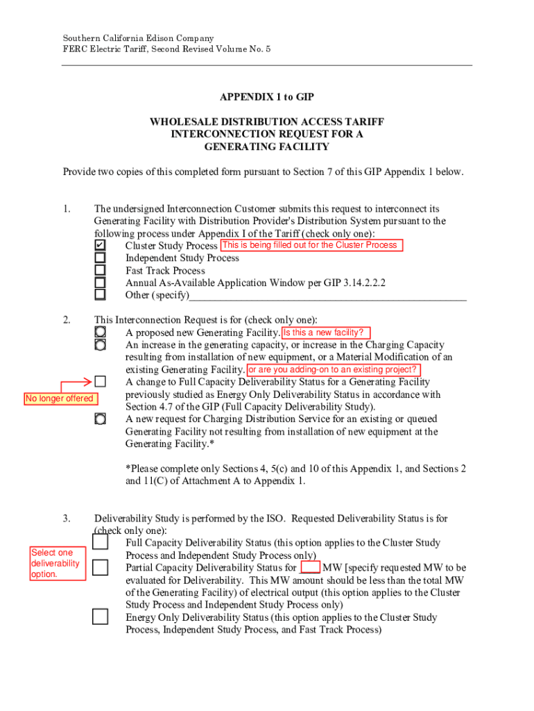
Southern California Edison's (SHE) WHAT Queue Cluster 14 An Introduction to Sees Cluster Study ProcessPurpose of Presentation This self-guided presentation is to help provide an understanding of SHE\'s
We are not affiliated with any brand or entity on this form
Get, Create, Make and Sign california temporary traffic control

Edit your california temporary traffic control form online
Type text, complete fillable fields, insert images, highlight or blackout data for discretion, add comments, and more.

Add your legally-binding signature
Draw or type your signature, upload a signature image, or capture it with your digital camera.

Share your form instantly
Email, fax, or share your california temporary traffic control form via URL. You can also download, print, or export forms to your preferred cloud storage service.
Editing california temporary traffic control online
In order to make advantage of the professional PDF editor, follow these steps:
1
Set up an account. If you are a new user, click Start Free Trial and establish a profile.
2
Prepare a file. Use the Add New button. Then upload your file to the system from your device, importing it from internal mail, the cloud, or by adding its URL.
3
Edit california temporary traffic control. Rearrange and rotate pages, add new and changed texts, add new objects, and use other useful tools. When you're done, click Done. You can use the Documents tab to merge, split, lock, or unlock your files.
4
Save your file. Select it in the list of your records. Then, move the cursor to the right toolbar and choose one of the available exporting methods: save it in multiple formats, download it as a PDF, send it by email, or store it in the cloud.
Uncompromising security for your PDF editing and eSignature needs
Your private information is safe with pdfFiller. We employ end-to-end encryption, secure cloud storage, and advanced access control to protect your documents and maintain regulatory compliance.
How to fill out california temporary traffic control

How to fill out california temporary traffic control
01
Step 1: Understand the purpose of the California Temporary Traffic Control (TTC) plan.
02
Step 2: Gather the necessary information, such as the project details and the specific road or work area that requires traffic control.
03
Step 3: Determine the type of TTC plan needed based on the work zone conditions and traffic volume.
04
Step 4: Familiarize yourself with the California Manual on Uniform Traffic Control Devices (MUTCD) guidelines and standards.
05
Step 5: Use appropriate traffic control devices, signs, and markings to guide and regulate traffic flow.
06
Step 6: Clearly communicate and coordinate with other stakeholders, such as local authorities, construction crews, and road users.
07
Step 7: Regularly monitor and evaluate the effectiveness of the TTC plan, making adjustments as necessary.
08
Step 8: Ensure the safety of workers and road users by implementing appropriate safety measures like barricades, flaggers, and designated pedestrian walkways.
09
Step 9: Maintain proper documentation of the TTC plan, including any revisions or updates, for future reference and compliance purposes.
10
Step 10: Periodically review and update the TTC plan as needed to accommodate any changes in the project or road conditions.
Who needs california temporary traffic control?
01
The California Temporary Traffic Control plan is needed by various entities and individuals, including:
02
- Construction and maintenance crews working on roads and highways
03
- Municipalities and local government agencies responsible for managing roadways
04
- Transportation departments and contractors undertaking infrastructure projects
05
- Event organizers and promoters managing temporary road closures or traffic diversions
06
- Utility companies performing work that affects traffic flow
07
- Film and television production crews conducting shoots on or near roadways
08
Anyone who needs to ensure proper traffic control and safety measures are in place during temporary road work, events, or other activities can benefit from California Temporary Traffic Control.
Fill
form
: Try Risk Free
For pdfFiller’s FAQs
Below is a list of the most common customer questions. If you can’t find an answer to your question, please don’t hesitate to reach out to us.
How can I modify california temporary traffic control without leaving Google Drive?
By integrating pdfFiller with Google Docs, you can streamline your document workflows and produce fillable forms that can be stored directly in Google Drive. Using the connection, you will be able to create, change, and eSign documents, including california temporary traffic control, all without having to leave Google Drive. Add pdfFiller's features to Google Drive and you'll be able to handle your documents more effectively from any device with an internet connection.
Can I create an electronic signature for the california temporary traffic control in Chrome?
As a PDF editor and form builder, pdfFiller has a lot of features. It also has a powerful e-signature tool that you can add to your Chrome browser. With our extension, you can type, draw, or take a picture of your signature with your webcam to make your legally-binding eSignature. Choose how you want to sign your california temporary traffic control and you'll be done in minutes.
How do I fill out california temporary traffic control using my mobile device?
Use the pdfFiller mobile app to fill out and sign california temporary traffic control on your phone or tablet. Visit our website to learn more about our mobile apps, how they work, and how to get started.
What is california temporary traffic control?
California temporary traffic control includes proper signage, devices, and measures implemented to safely control and manage traffic in work zones or construction areas.
Who is required to file california temporary traffic control?
Anyone conducting work that affects the flow of traffic on a California roadway is required to file a temporary traffic control plan.
How to fill out california temporary traffic control?
California temporary traffic control plans can be filled out by following the guidelines provided by the California Department of Transportation and using the necessary forms and templates.
What is the purpose of california temporary traffic control?
The purpose of California temporary traffic control is to ensure the safety of both workers and motorists by minimizing traffic disruptions and providing clear guidance for navigating work zones.
What information must be reported on california temporary traffic control?
California temporary traffic control plans must include details on signage, lane closures, detours, flagging operations, and other measures taken to control traffic during construction or maintenance activities.
Fill out your california temporary traffic control online with pdfFiller!
pdfFiller is an end-to-end solution for managing, creating, and editing documents and forms in the cloud. Save time and hassle by preparing your tax forms online.

California Temporary Traffic Control is not the form you're looking for?Search for another form here.
Relevant keywords
Related Forms
If you believe that this page should be taken down, please follow our DMCA take down process
here
.
This form may include fields for payment information. Data entered in these fields is not covered by PCI DSS compliance.