
Get the free Non-QM Broker Package Application - form.jotform.com
Show details
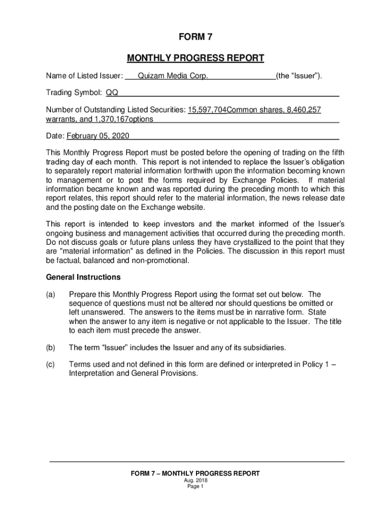
FORM 7 MONTHLY PROGRESS REPORT Name of Listed Issuer:Quiz am Media Corp.(the Issuer). Trading Symbol: HQ Number of Outstanding Listed Securities: 15,597,704Common shares, 8,460,257 warrants, and 1,370,167options
We are not affiliated with any brand or entity on this form
Get, Create, Make and Sign non-qm broker package application

Edit your non-qm broker package application form online
Type text, complete fillable fields, insert images, highlight or blackout data for discretion, add comments, and more.

Add your legally-binding signature
Draw or type your signature, upload a signature image, or capture it with your digital camera.

Share your form instantly
Email, fax, or share your non-qm broker package application form via URL. You can also download, print, or export forms to your preferred cloud storage service.
How to edit non-qm broker package application online
To use our professional PDF editor, follow these steps:
1
Log in. Click Start Free Trial and create a profile if necessary.
2
Upload a document. Select Add New on your Dashboard and transfer a file into the system in one of the following ways: by uploading it from your device or importing from the cloud, web, or internal mail. Then, click Start editing.
3
Edit non-qm broker package application. Add and replace text, insert new objects, rearrange pages, add watermarks and page numbers, and more. Click Done when you are finished editing and go to the Documents tab to merge, split, lock or unlock the file.
4
Save your file. Select it from your records list. Then, click the right toolbar and select one of the various exporting options: save in numerous formats, download as PDF, email, or cloud.
pdfFiller makes working with documents easier than you could ever imagine. Register for an account and see for yourself!
Uncompromising security for your PDF editing and eSignature needs
Your private information is safe with pdfFiller. We employ end-to-end encryption, secure cloud storage, and advanced access control to protect your documents and maintain regulatory compliance.
How to fill out non-qm broker package application

How to fill out non-qm broker package application
01
To fill out a non-qm broker package application, follow these steps:
02
Read the instructions: Start by carefully reading the instructions provided with the application package. This will ensure that you understand the requirements and any specific documentation needed.
03
Gather necessary documents: Collect all the required documents such as financial statements, tax returns, identification proofs, and any other supporting documentation specified in the application package.
04
Complete the application form: Fill out the application form accurately and legibly. Double-check all the information before submitting to avoid any mistakes or missing information.
05
Provide additional details: If there are any sections or questions that require additional explanations or details, make sure to provide them clearly and concisely.
06
Review and proofread: Go through the entire application once you have completed filling it out. Check for any errors, missing information, or inconsistencies. Make necessary corrections before submitting.
07
Include supporting documents: Attach all the required supporting documents to the application form. Ensure that they are organized and labeled correctly for easy verification.
08
Submit the application: Follow the submission instructions provided in the application package. This may involve mailing the application to a specific address or submitting it electronically.
09
Follow up: If there is a specified timeline for processing the application, make a note of it and follow up accordingly. You may need to contact the appropriate department or institution to inquire about the status of your application.
Who needs non-qm broker package application?
01
Individuals or entities who are involved in non-qualified mortgage (non-QM) broker activities or services need a non-QM broker package application. This typically includes:
02
- Mortgage brokers specializing in non-QM loans
03
- Real estate professionals offering non-QM loan options
04
- Financial institutions or lenders offering non-QM loan products
05
- Brokers or individuals seeking to become approved non-QM brokers
06
The non-QM broker package application is necessary to gather essential information, verify qualifications, and comply with regulatory requirements related to non-QM lending.
Fill
form
: Try Risk Free
For pdfFiller’s FAQs
Below is a list of the most common customer questions. If you can’t find an answer to your question, please don’t hesitate to reach out to us.
How can I get non-qm broker package application?
The pdfFiller premium subscription gives you access to a large library of fillable forms (over 25 million fillable templates) that you can download, fill out, print, and sign. In the library, you'll have no problem discovering state-specific non-qm broker package application and other forms. Find the template you want and tweak it with powerful editing tools.
Can I sign the non-qm broker package application electronically in Chrome?
You can. With pdfFiller, you get a strong e-signature solution built right into your Chrome browser. Using our addon, you may produce a legally enforceable eSignature by typing, sketching, or photographing it. Choose your preferred method and eSign in minutes.
Can I edit non-qm broker package application on an iOS device?
You can. Using the pdfFiller iOS app, you can edit, distribute, and sign non-qm broker package application. Install it in seconds at the Apple Store. The app is free, but you must register to buy a subscription or start a free trial.
What is non-qm broker package application?
Non-QM broker package application is a form or set of documents that must be completed by brokers who are not qualified mortgage (Non-QM) lenders to apply for mortgage products that do not meet standard qualified mortgage criteria.
Who is required to file non-qm broker package application?
Brokers who are not qualified mortgage (Non-QM) lenders are required to file the non-QM broker package application.
How to fill out non-qm broker package application?
The non-QM broker package application can typically be filled out online or submitted through a designated portal provided by the lender or financial institution offering the mortgage products.
What is the purpose of non-qm broker package application?
The purpose of the non-QM broker package application is to allow brokers who are not qualified mortgage lenders to apply for mortgage products that do not meet standard qualified mortgage criteria.
What information must be reported on non-qm broker package application?
The non-QM broker package application typically requires brokers to provide information about their business, financial history, and the specific mortgage products they are seeking for their clients.
Fill out your non-qm broker package application online with pdfFiller!
pdfFiller is an end-to-end solution for managing, creating, and editing documents and forms in the cloud. Save time and hassle by preparing your tax forms online.

Non-Qm Broker Package Application is not the form you're looking for?Search for another form here.
Relevant keywords
Related Forms
If you believe that this page should be taken down, please follow our DMCA take down process
here
.
This form may include fields for payment information. Data entered in these fields is not covered by PCI DSS compliance.