Get the free Online vestaviahills Hoover Chamber of Commerce ...
Show details
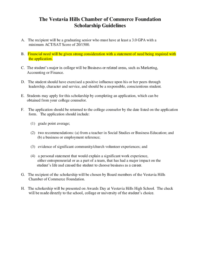
The Vestavia Hills Chamber of Commerce Foundation Scholarship Guidelines A. The recipient will be a graduating senior who must have at least a 3.0 GPA with a minimum ACT/SAT Score of 20/1500. B. Financial
We are not affiliated with any brand or entity on this form
Get, Create, Make and Sign online vestaviahills hoover chamber
Edit your online vestaviahills hoover chamber form online
Type text, complete fillable fields, insert images, highlight or blackout data for discretion, add comments, and more.
Add your legally-binding signature
Draw or type your signature, upload a signature image, or capture it with your digital camera.
Share your form instantly
Email, fax, or share your online vestaviahills hoover chamber form via URL. You can also download, print, or export forms to your preferred cloud storage service.
Editing online vestaviahills hoover chamber online
Use the instructions below to start using our professional PDF editor:
1
Log in. Click Start Free Trial and create a profile if necessary.
2
Prepare a file. Use the Add New button to start a new project. Then, using your device, upload your file to the system by importing it from internal mail, the cloud, or adding its URL.
3
Edit online vestaviahills hoover chamber. Add and replace text, insert new objects, rearrange pages, add watermarks and page numbers, and more. Click Done when you are finished editing and go to the Documents tab to merge, split, lock or unlock the file.
4
Get your file. Select the name of your file in the docs list and choose your preferred exporting method. You can download it as a PDF, save it in another format, send it by email, or transfer it to the cloud.
With pdfFiller, it's always easy to deal with documents.
Uncompromising security for your PDF editing and eSignature needs
Your private information is safe with pdfFiller. We employ end-to-end encryption, secure cloud storage, and advanced access control to protect your documents and maintain regulatory compliance.
How to fill out online vestaviahills hoover chamber
How to fill out online vestaviahills hoover chamber
01
Visit the website of Vestaviahills Hoover Chamber.
02
Look for the 'Membership' or 'Join Us' tab on the main menu.
03
Click on the tab to navigate to the membership page.
04
Read the information provided about the chamber membership and its benefits.
05
Look for the 'Join Now' or 'Apply Online' button on the membership page.
06
Click on the button to start the online application process.
07
Fill out the required personal information fields, such as name, email address, and contact details.
08
Provide information about your business or organization, including its name, address, and industry.
09
Select the desired membership level or category from the available options.
10
Review the entered information for accuracy and completeness.
11
Submit the online application form.
12
Wait for a confirmation email or notification from the chamber regarding your application status.
13
Follow any additional instructions provided by the chamber for further steps or payments, if applicable.
14
Once approved, you will become a member of the Vestaviahills Hoover Chamber.
Who needs online vestaviahills hoover chamber?
01
Business owners or entrepreneurs who want to connect with other local businesses.
02
Professionals or individuals seeking networking opportunities and business resources.
03
Organizations or companies looking to promote their products or services locally.
04
Individuals interested in supporting the local business community and economic development.
05
Residents or citizens of Vestaviahills Hoover area who want to stay updated about local businesses and events.
Fill
form
: Try Risk Free
For pdfFiller’s FAQs
Below is a list of the most common customer questions. If you can’t find an answer to your question, please don’t hesitate to reach out to us.
How do I complete online vestaviahills hoover chamber online?
pdfFiller has made it easy to fill out and sign online vestaviahills hoover chamber. You can use the solution to change and move PDF content, add fields that can be filled in, and sign the document electronically. Start a free trial of pdfFiller, the best tool for editing and filling in documents.
How do I edit online vestaviahills hoover chamber on an Android device?
You can make any changes to PDF files, like online vestaviahills hoover chamber, with the help of the pdfFiller Android app. Edit, sign, and send documents right from your phone or tablet. You can use the app to make document management easier wherever you are.
How do I complete online vestaviahills hoover chamber on an Android device?
Complete online vestaviahills hoover chamber and other documents on your Android device with the pdfFiller app. The software allows you to modify information, eSign, annotate, and share files. You may view your papers from anywhere with an internet connection.
What is online vestaviahills hoover chamber?
Online Vestaviahills Hoover Chamber is an online platform where businesses in the Vestavia Hills Hoover area can file chamber reports and information.
Who is required to file online vestaviahills hoover chamber?
All businesses operating in the Vestavia Hills Hoover area are required to file online chamber reports.
How to fill out online vestaviahills hoover chamber?
Businesses can fill out online chamber reports by logging into the platform, entering the required information, and submitting the form.
What is the purpose of online vestaviahills hoover chamber?
The purpose of online Vestaviahills Hoover Chamber is to gather information from businesses in the area to help the local chamber of commerce better understand the business landscape.
What information must be reported on online vestaviahills hoover chamber?
Businesses must report information such as their name, address, contact information, industry type, and any updates on business operations.
Fill out your online vestaviahills hoover chamber online with pdfFiller!
pdfFiller is an end-to-end solution for managing, creating, and editing documents and forms in the cloud. Save time and hassle by preparing your tax forms online.
Online Vestaviahills Hoover Chamber is not the form you're looking for?Search for another form here.
Relevant keywords
Related Forms
If you believe that this page should be taken down, please follow our DMCA take down process
here
.
This form may include fields for payment information. Data entered in these fields is not covered by PCI DSS compliance.