Get the free Henderson County considers changes to facility use policy ...
Show details
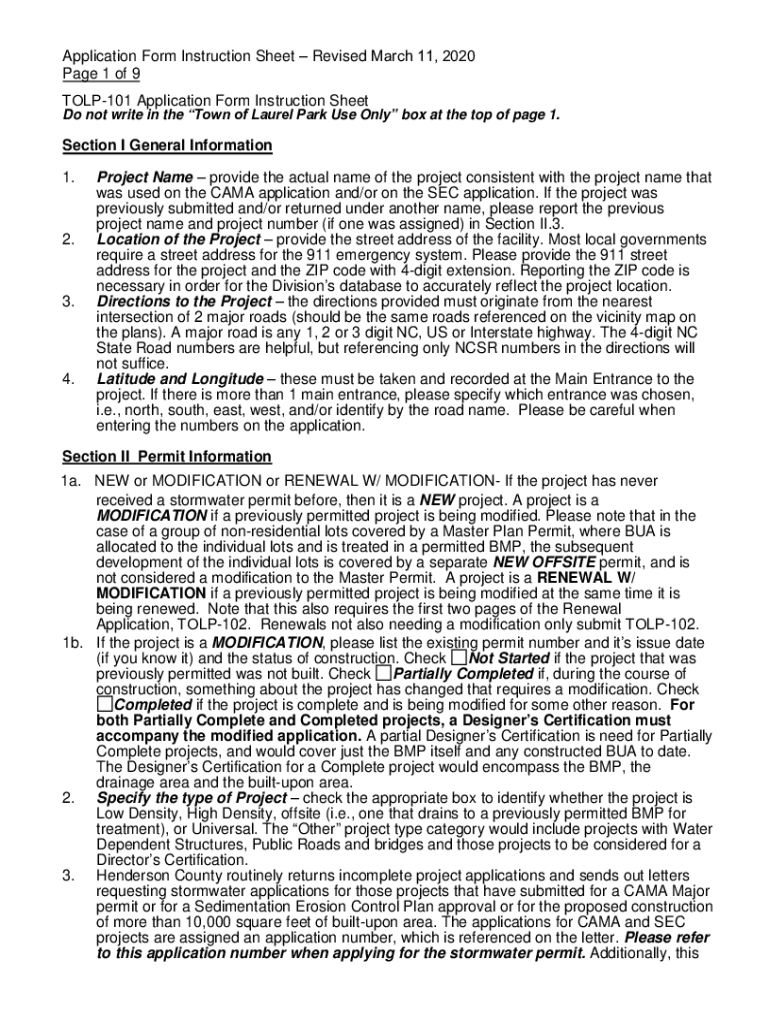
Application Form Instruction Sheet Revised March 11, 2020-Page 1 of 9 TOLP101 Application Form Instruction Sheet not write in the Town of Laurel Park Use Only box at the top of page 1. Section I General
We are not affiliated with any brand or entity on this form
Get, Create, Make and Sign henderson county considers changes
Edit your henderson county considers changes form online
Type text, complete fillable fields, insert images, highlight or blackout data for discretion, add comments, and more.
Add your legally-binding signature
Draw or type your signature, upload a signature image, or capture it with your digital camera.
Share your form instantly
Email, fax, or share your henderson county considers changes form via URL. You can also download, print, or export forms to your preferred cloud storage service.
How to edit henderson county considers changes online
Follow the guidelines below to take advantage of the professional PDF editor:
1
Create an account. Begin by choosing Start Free Trial and, if you are a new user, establish a profile.
2
Prepare a file. Use the Add New button to start a new project. Then, using your device, upload your file to the system by importing it from internal mail, the cloud, or adding its URL.
3
Edit henderson county considers changes. Rearrange and rotate pages, insert new and alter existing texts, add new objects, and take advantage of other helpful tools. Click Done to apply changes and return to your Dashboard. Go to the Documents tab to access merging, splitting, locking, or unlocking functions.
4
Save your file. Select it from your records list. Then, click the right toolbar and select one of the various exporting options: save in numerous formats, download as PDF, email, or cloud.
With pdfFiller, it's always easy to work with documents. Try it out!
Uncompromising security for your PDF editing and eSignature needs
Your private information is safe with pdfFiller. We employ end-to-end encryption, secure cloud storage, and advanced access control to protect your documents and maintain regulatory compliance.
How to fill out henderson county considers changes
How to fill out henderson county considers changes
01
Start by obtaining a copy of the Henderson County considers changes form.
02
Read through the form carefully to understand the information that is required.
03
Begin filling out the form by entering your personal details, such as your name, address, and contact information.
04
Follow the instructions provided on the form to answer any specific questions or provide additional information.
05
Ensure that you provide all the necessary details accurately and clearly.
06
Review the completed form to check for any errors or missing information.
07
Sign and date the form as required.
08
Make a copy of the filled-out form for your records, if necessary.
09
Submit the form to the appropriate authority or department as specified.
Who needs henderson county considers changes?
01
Henderson County residents who are seeking to propose changes or modifications to the existing regulations, policies, or procedures in the county.
Fill
form
: Try Risk Free
For pdfFiller’s FAQs
Below is a list of the most common customer questions. If you can’t find an answer to your question, please don’t hesitate to reach out to us.
How can I send henderson county considers changes to be eSigned by others?
Once you are ready to share your henderson county considers changes, you can easily send it to others and get the eSigned document back just as quickly. Share your PDF by email, fax, text message, or USPS mail, or notarize it online. You can do all of this without ever leaving your account.
How do I execute henderson county considers changes online?
Easy online henderson county considers changes completion using pdfFiller. Also, it allows you to legally eSign your form and change original PDF material. Create a free account and manage documents online.
How do I fill out henderson county considers changes using my mobile device?
The pdfFiller mobile app makes it simple to design and fill out legal paperwork. Complete and sign henderson county considers changes and other papers using the app. Visit pdfFiller's website to learn more about the PDF editor's features.
What is henderson county considers changes?
Henderson County considers changes to any property tax assessments or related regulations.
Who is required to file henderson county considers changes?
Property owners in Henderson County are required to file any changes to their property assessments.
How to fill out henderson county considers changes?
To fill out Henderson County considers changes, property owners must complete the necessary forms provided by the county assessor's office.
What is the purpose of henderson county considers changes?
The purpose of Henderson County considers changes is to ensure that property assessments are accurate and up-to-date.
What information must be reported on henderson county considers changes?
Property owners must report any changes to their property such as renovations, improvements, or changes in property use.
Fill out your henderson county considers changes online with pdfFiller!
pdfFiller is an end-to-end solution for managing, creating, and editing documents and forms in the cloud. Save time and hassle by preparing your tax forms online.
Henderson County Considers Changes is not the form you're looking for?Search for another form here.
Relevant keywords
Related Forms
If you believe that this page should be taken down, please follow our DMCA take down process
here
.
This form may include fields for payment information. Data entered in these fields is not covered by PCI DSS compliance.