Form preview

Get the free DOC Agency # 054 - Arkansas Insurance Department - Arkansas.gov template

Get Form
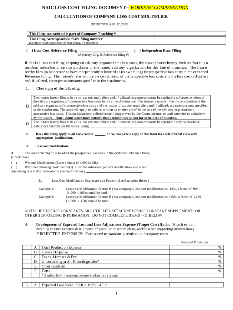
NAIL LOSS COST FILING DOCUMENT? WORKERS COMPENSATIONCALCULATION OF COMPANY LOSS COST MULTIPLIER(EFFECTIVE AUG. 12, 2008)This filing transmittal is part of Company Tracking #This filing corresponds
We are not affiliated with any brand or entity on this form

Get, Create, Make and Sign doc agency 054

Edit
Edit your doc agency 054 form online
Type text, complete fillable fields, insert images, highlight or blackout data for discretion, add comments, and more.
Add
Add your legally-binding signature
Draw or type your signature, upload a signature image, or capture it with your digital camera.
Share
Share your form instantly
Email, fax, or share your doc agency 054 form via URL. You can also download, print, or export forms to your preferred cloud storage service.

How to edit doc agency 054 online

9.5
Ease of Setup
pdfFiller User Ratings on G2
9.0
Ease of Use
pdfFiller User Ratings on G2
To use the services of a skilled PDF editor, follow these steps:
1
Check your account. It's time to start your free trial.
2
Upload a file. Select Add New on your Dashboard and upload a file from your device or import it from the cloud, online, or internal mail. Then click Edit.
3
Edit doc agency 054. Add and change text, add new objects, move pages, add watermarks and page numbers, and more. Then click Done when you're done editing and go to the Documents tab to merge or split the file. If you want to lock or unlock the file, click the lock or unlock button.
4
Get your file. Select your file from the documents list and pick your export method. You may save it as a PDF, email it, or upload it to the cloud.
pdfFiller makes working with documents easier than you could ever imagine. Register for an account and see for yourself!

Uncompromising security for your PDF editing and eSignature needs

Your private information is safe with pdfFiller. We employ end-to-end encryption, secure cloud storage, and advanced access control to protect your documents and maintain regulatory compliance.
GDPR
AICPA SOC 2
PCI
HIPAA
CCPA
FDA

How to fill out doc agency 054

Illustration

How to fill out doc agency 054

01
To fill out doc agency 054, follow these steps:
02
Start by opening the document on your preferred word processing software.
03
Read the instructions carefully to understand the purpose and required information.
04
Begin by entering your personal details, such as your full name, address, and contact information.
05
Fill in any additional information requested, such as your social security number or employee ID.
06
Provide detailed responses to any questions or prompts, following any provided guidelines or examples.
07
Double-check your answers for accuracy and completeness.
08
Save the completed document to your device or print it out if necessary.
09
Review the document once again to ensure all fields have been filled correctly.
10
Sign and date the document as required, either electronically or manually.
11
Make a copy of the completed document for your records before submitting it to the appropriate agency.

Who needs doc agency 054?

01
Doc agency 054 is typically needed by individuals or organizations who are required to provide specific information or documentation to the agency in question.
02
The specific requirements and purpose of doc agency 054 can vary, so it's important to refer to the instructions or regulations provided by the agency to determine if you are the intended audience.
03
Common examples of individuals or organizations who may need to fill out doc agency 054 include applicants for licenses, permits, certifications, or government benefits.
04
It's always best to consult the specific agency or relevant guidelines to confirm whether you need to fill out doc agency 054 for your particular situation.

What is DOC Agency # 054 - Arkansas Insurance Department - Arkansas.gov Form?

The DOC Agency # 054 - Arkansas Insurance Department - Arkansas.gov is a writable document needed to be submitted to the specific address in order to provide specific information. It needs to be filled-out and signed, which can be done manually in hard copy, or via a particular software like PDFfiller. It helps to fill out any PDF or Word document directly from your browser (no software requred), customize it depending on your requirements and put a legally-binding electronic signature. Right away after completion, you can send the DOC Agency # 054 - Arkansas Insurance Department - Arkansas.gov to the appropriate receiver, or multiple recipients via email or fax. The editable template is printable as well thanks to PDFfiller feature and options proposed for printing out adjustment. Both in digital and in hard copy, your form should have a clean and professional appearance. You may also turn it into a template for later, so you don't need to create a new document again. All that needed is to edit the ready sample.

Template DOC Agency # 054 - Arkansas Insurance Department - Arkansas.gov instructions

When you're ready to begin completing the DOC Agency # 054 - Arkansas Insurance Department - Arkansas.gov .doc form, it's important to make clear that all the required info is well prepared. This part is significant, so far as errors can lead to unwanted consequences. It can be unpleasant and time-consuming to resubmit the whole blank, not speaking about penalties resulted from blown deadlines. Working with figures requires a lot of attention. At first sight, there’s nothing tricky about this. Yet still, there's nothing to make an error. Experts advise to store all the data and get it separately in a different document. When you've got a writable sample, you can easily export this info from the file. In any case, you ought to pay enough attention to provide accurate and legit information. Doublecheck the information in your DOC Agency # 054 - Arkansas Insurance Department - Arkansas.gov form carefully when filling all important fields. You can use the editing tool in order to correct all mistakes if there remains any.

How to fill out DOC Agency # 054 - Arkansas Insurance Department - Arkansas.gov

First thing you need to start completing DOC Agency # 054 - Arkansas Insurance Department - Arkansas.gov writable doc form is editable copy. If you complete and file it with the help of PDFfiller, view the options down below how you can get it:

  • Search for the DOC Agency # 054 - Arkansas Insurance Department - Arkansas.gov form in the PDFfiller’s filebase.
  • Upload your own Word template to the editor, in case you have one.
  • Draw up the file from the beginning via PDFfiller’s form creation tool and add the required elements with the editing tools.

No matter what choice you prefer, you are able to modify the document and add more different objects. Except for, if you need a form containing all fillable fields, you can obtain it only from the filebase. The other 2 options are lacking this feature, so you ought to place fields yourself. However, it is quite easy and fast to do as well. When you finish it, you'll have a handy form to be filled out. These fields are easy to put when you need them in the file and can be deleted in one click. Each objective of the fields matches a separate type: for text, for date, for checkmarks. If you need other people to put signatures, there is a signature field as well. E-sign tool makes it possible to put your own autograph. Once everything is completely ready, hit the Done button. And now, you can share your fillable form.

Fill form : Try Risk Free
Users Most Likely To Recommend - Summer 2025
Grid Leader in Small-Business - Summer 2025
High Performer - Summer 2025
Regional Leader - Summer 2025
Easiest To Do Business With - Summer 2025
Best Meets Requirements- Summer 2025
Rate the form
4.5
Satisfied
35 Votes

For pdfFiller’s FAQs

Below is a list of the most common customer questions. If you can’t find an answer to your question, please don’t hesitate to reach out to us.

To distribute your doc agency 054, simply send it to others and receive the eSigned document back instantly. Post or email a PDF that you've notarized online. Doing so requires never leaving your account.
Get and add pdfFiller Google Chrome Extension to your browser to edit, fill out and eSign your doc agency 054, which you can open in the editor directly from a Google search page in just one click. Execute your fillable documents from any internet-connected device without leaving Chrome.
Use the pdfFiller mobile app to complete and sign doc agency 054 on your mobile device. Visit our web page (https://edit-pdf-ios-android.pdffiller.com/) to learn more about our mobile applications, the capabilities you’ll have access to, and the steps to take to get up and running.
The doc agency 054 is a form that needs to be filed with a specific agency for reporting purposes.
Certain individuals or entities are required to file doc agency 054 based on specific criteria set by the agency.
Doc agency 054 can be filled out online or submitted through mail with the required information and documentation.
The purpose of doc agency 054 is to gather specific information from individuals or entities for regulatory or compliance reasons.
Doc agency 054 typically requires information such as personal details, financial information, and other relevant data.
Fill out your doc agency 054 online with pdfFiller!

pdfFiller is an end-to-end solution for managing, creating, and editing documents and forms in the cloud. Save time and hassle by preparing your tax forms online.

Get started now
Form preview
If you believe that this page should be taken down, please follow our DMCA take down process here .
This form may include fields for payment information. Data entered in these fields is not covered by PCI DSS compliance.