
Get the free Rent agreement format: Here is a sample for reference ...
Show details
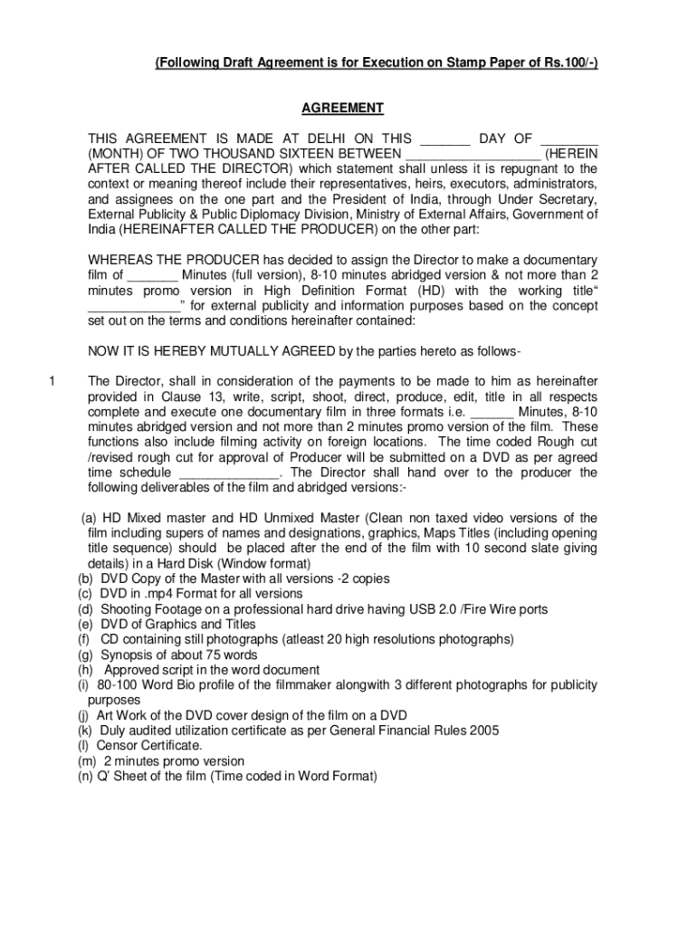
(Following Draft Agreement is for Execution on Stamp Paper of Rs.100/)AGREEMENT THIS AGREEMENT IS MADE AT DELHI ON THIS DAY OF (MONTH) OF TWO THOUSAND SIXTEEN BETWEEN (HEREIN AFTER CALLED THE DIRECTOR)
We are not affiliated with any brand or entity on this form
Get, Create, Make and Sign rent agreement format here

Edit your rent agreement format here form online
Type text, complete fillable fields, insert images, highlight or blackout data for discretion, add comments, and more.

Add your legally-binding signature
Draw or type your signature, upload a signature image, or capture it with your digital camera.

Share your form instantly
Email, fax, or share your rent agreement format here form via URL. You can also download, print, or export forms to your preferred cloud storage service.
How to edit rent agreement format here online
To use the services of a skilled PDF editor, follow these steps below:
1
Log in. Click Start Free Trial and create a profile if necessary.
2
Prepare a file. Use the Add New button to start a new project. Then, using your device, upload your file to the system by importing it from internal mail, the cloud, or adding its URL.
3
Edit rent agreement format here. Rearrange and rotate pages, add new and changed texts, add new objects, and use other useful tools. When you're done, click Done. You can use the Documents tab to merge, split, lock, or unlock your files.
4
Save your file. Choose it from the list of records. Then, shift the pointer to the right toolbar and select one of the several exporting methods: save it in multiple formats, download it as a PDF, email it, or save it to the cloud.
It's easier to work with documents with pdfFiller than you can have ever thought. You may try it out for yourself by signing up for an account.
Uncompromising security for your PDF editing and eSignature needs
Your private information is safe with pdfFiller. We employ end-to-end encryption, secure cloud storage, and advanced access control to protect your documents and maintain regulatory compliance.
How to fill out rent agreement format here

How to fill out rent agreement format here
01
First, gather all the necessary information such as the names and contact details of both the landlord and the tenant.
02
Next, include details about the property being rented, including its address and any specific terms or conditions.
03
Specify the duration of the rental agreement, including the start and end dates.
04
Outline the payment terms, including the monthly rent amount and due date.
05
Include any additional clauses or rules that both parties need to adhere to, such as pets or smoking policies.
06
Have both the landlord and tenant review the agreement carefully.
07
Finally, both parties should sign and date the agreement to make it legally binding.
Who needs rent agreement format here?
01
Individuals who are either renting out a property or looking to rent a property need a rent agreement format. This includes landlords, tenants, and property management companies.
Fill
form
: Try Risk Free
For pdfFiller’s FAQs
Below is a list of the most common customer questions. If you can’t find an answer to your question, please don’t hesitate to reach out to us.
How do I make changes in rent agreement format here?
With pdfFiller, you may not only alter the content but also rearrange the pages. Upload your rent agreement format here and modify it with a few clicks. The editor lets you add photos, sticky notes, text boxes, and more to PDFs.
How do I make edits in rent agreement format here without leaving Chrome?
Install the pdfFiller Google Chrome Extension to edit rent agreement format here and other documents straight from Google search results. When reading documents in Chrome, you may edit them. Create fillable PDFs and update existing PDFs using pdfFiller.
Can I create an electronic signature for the rent agreement format here in Chrome?
You certainly can. You get not just a feature-rich PDF editor and fillable form builder with pdfFiller, but also a robust e-signature solution that you can add right to your Chrome browser. You may use our addon to produce a legally enforceable eSignature by typing, sketching, or photographing your signature with your webcam. Choose your preferred method and eSign your rent agreement format here in minutes.
What is rent agreement format here?
In our system, the rent agreement format includes details such as the landlord and tenant's names, address of the rented property, rent amount, duration of the agreement, and terms and conditions.
Who is required to file rent agreement format here?
Both the landlord and tenant are required to fill out and sign the rent agreement format.
How to fill out rent agreement format here?
To fill out the rent agreement format, both the landlord and tenant need to provide their personal information, details of the rented property, rent amount, duration of the agreement, and any special terms or conditions.
What is the purpose of rent agreement format here?
The rent agreement format is used to officially document the terms agreed upon by the landlord and tenant regarding the rental of a property.
What information must be reported on rent agreement format here?
The rent agreement format must include the names and signatures of both the landlord and tenant, address of the rented property, rent amount, duration of the agreement, and any additional terms and conditions agreed upon.
Fill out your rent agreement format here online with pdfFiller!
pdfFiller is an end-to-end solution for managing, creating, and editing documents and forms in the cloud. Save time and hassle by preparing your tax forms online.

Rent Agreement Format Here is not the form you're looking for?Search for another form here.
Relevant keywords
Related Forms
If you believe that this page should be taken down, please follow our DMCA take down process
here
.
This form may include fields for payment information. Data entered in these fields is not covered by PCI DSS compliance.