Get the free AGREEMENT FOR LICENSEE USE OF A REAL ESTATE ASSISTANT
Show details
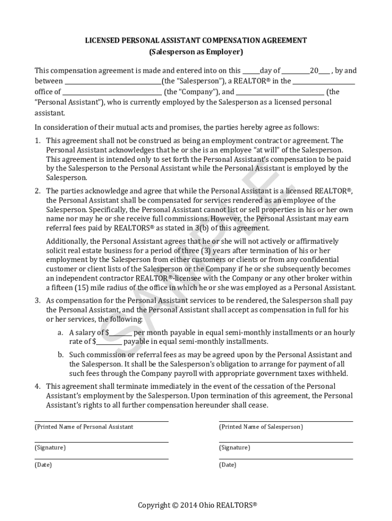
LICENSED PERSONAL ASSISTANT COMPENSATION AGREEMENT (Salesperson as Employer) This compensation agreement is made and entered into on this day of 20, by and between (the Salesperson), a REALTOR in
We are not affiliated with any brand or entity on this form
Get, Create, Make and Sign agreement for licensee use
Edit your agreement for licensee use form online
Type text, complete fillable fields, insert images, highlight or blackout data for discretion, add comments, and more.
Add your legally-binding signature
Draw or type your signature, upload a signature image, or capture it with your digital camera.
Share your form instantly
Email, fax, or share your agreement for licensee use form via URL. You can also download, print, or export forms to your preferred cloud storage service.
How to edit agreement for licensee use online
Here are the steps you need to follow to get started with our professional PDF editor:
1
Log in to account. Click Start Free Trial and register a profile if you don't have one yet.
2
Prepare a file. Use the Add New button. Then upload your file to the system from your device, importing it from internal mail, the cloud, or by adding its URL.
3
Edit agreement for licensee use. Rearrange and rotate pages, insert new and alter existing texts, add new objects, and take advantage of other helpful tools. Click Done to apply changes and return to your Dashboard. Go to the Documents tab to access merging, splitting, locking, or unlocking functions.
4
Save your file. Select it from your records list. Then, click the right toolbar and select one of the various exporting options: save in numerous formats, download as PDF, email, or cloud.
It's easier to work with documents with pdfFiller than you can have believed. Sign up for a free account to view.
Uncompromising security for your PDF editing and eSignature needs
Your private information is safe with pdfFiller. We employ end-to-end encryption, secure cloud storage, and advanced access control to protect your documents and maintain regulatory compliance.
How to fill out agreement for licensee use
How to fill out agreement for licensee use
01
Read the agreement thoroughly to understand its terms and conditions.
02
Fill in the blank spaces with the necessary information, such as the names and addresses of the parties involved.
03
Specify the scope of the license being granted and any restrictions or limitations.
04
Include any payment terms, if applicable.
05
Specify the duration of the agreement and any termination clauses.
06
Have both parties review and sign the agreement to indicate their acceptance.
07
Keep a copy of the agreement for future reference.
Who needs agreement for licensee use?
01
Any individual or business entity that wishes to grant or obtain a license for use of their intellectual property or other assets needs an agreement for licensee use.
Fill
form
: Try Risk Free
For pdfFiller’s FAQs
Below is a list of the most common customer questions. If you can’t find an answer to your question, please don’t hesitate to reach out to us.
How can I manage my agreement for licensee use directly from Gmail?
It's easy to use pdfFiller's Gmail add-on to make and edit your agreement for licensee use and any other documents you get right in your email. You can also eSign them. Take a look at the Google Workspace Marketplace and get pdfFiller for Gmail. Get rid of the time-consuming steps and easily manage your documents and eSignatures with the help of an app.
How can I send agreement for licensee use for eSignature?
When you're ready to share your agreement for licensee use, you can swiftly email it to others and receive the eSigned document back. You may send your PDF through email, fax, text message, or USPS mail, or you can notarize it online. All of this may be done without ever leaving your account.
Can I edit agreement for licensee use on an iOS device?
Create, modify, and share agreement for licensee use using the pdfFiller iOS app. Easy to install from the Apple Store. You may sign up for a free trial and then purchase a membership.
What is agreement for licensee use?
The agreement for licensee use is a legal contract that grants permission to a licensee to use certain assets, such as intellectual property or real property, owned by the licensor.
Who is required to file agreement for licensee use?
The licensor is required to file the agreement for licensee use.
How to fill out agreement for licensee use?
The agreement for licensee use should be filled out with all relevant information about the licensing arrangement, including details about the licensed assets, the duration of the license, and any payment terms.
What is the purpose of agreement for licensee use?
The purpose of the agreement for licensee use is to outline the rights and responsibilities of both the licensor and the licensee in the use of the licensed assets.
What information must be reported on agreement for licensee use?
The agreement for licensee use must include details about the licensed assets, the duration of the license, any restrictions on use, payment terms, and any other relevant terms and conditions.
Fill out your agreement for licensee use online with pdfFiller!
pdfFiller is an end-to-end solution for managing, creating, and editing documents and forms in the cloud. Save time and hassle by preparing your tax forms online.
Agreement For Licensee Use is not the form you're looking for?Search for another form here.
Relevant keywords
Related Forms
If you believe that this page should be taken down, please follow our DMCA take down process
here
.
This form may include fields for payment information. Data entered in these fields is not covered by PCI DSS compliance.