Get the free APPLICATION INSTRUCTIONS For Emergency Solutions ... - apps pittsburghpa
Show details
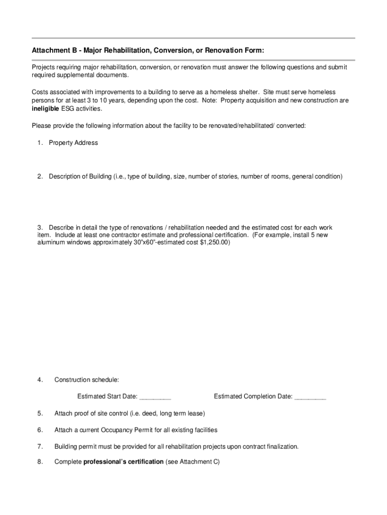
Attachment B Major Rehabilitation, Conversion, or Renovation Form: Projects requiring major rehabilitation, conversion, or renovation must answer the following questions and submit required supplemental
We are not affiliated with any brand or entity on this form
Get, Create, Make and Sign application instructions for emergency
Edit your application instructions for emergency form online
Type text, complete fillable fields, insert images, highlight or blackout data for discretion, add comments, and more.
Add your legally-binding signature
Draw or type your signature, upload a signature image, or capture it with your digital camera.
Share your form instantly
Email, fax, or share your application instructions for emergency form via URL. You can also download, print, or export forms to your preferred cloud storage service.
How to edit application instructions for emergency online
To use the professional PDF editor, follow these steps below:
1
Set up an account. If you are a new user, click Start Free Trial and establish a profile.
2
Prepare a file. Use the Add New button. Then upload your file to the system from your device, importing it from internal mail, the cloud, or by adding its URL.
3
Edit application instructions for emergency. Replace text, adding objects, rearranging pages, and more. Then select the Documents tab to combine, divide, lock or unlock the file.
4
Save your file. Choose it from the list of records. Then, shift the pointer to the right toolbar and select one of the several exporting methods: save it in multiple formats, download it as a PDF, email it, or save it to the cloud.
It's easier to work with documents with pdfFiller than you could have believed. You may try it out for yourself by signing up for an account.
Uncompromising security for your PDF editing and eSignature needs
Your private information is safe with pdfFiller. We employ end-to-end encryption, secure cloud storage, and advanced access control to protect your documents and maintain regulatory compliance.
How to fill out application instructions for emergency
How to fill out application instructions for emergency
01
Start by gathering all the necessary information and documents required for the emergency application.
02
Begin the application by clearly stating the emergency situation and the reason for the need for immediate assistance.
03
Provide your personal information such as full name, contact details, and address.
04
Clearly explain the nature of the emergency, including any relevant details or supporting documents that may help in the assessment process.
05
Follow any specific instructions provided by the emergency application form, such as filling out additional sections or attaching certain documents.
06
Make sure to review the completed application thoroughly for any errors or missing information before submitting.
07
Submit the application through the designated method, whether it's online, in person, or via mail.
08
Keep copies of the submitted application and any supporting documents for your records.
09
If required, follow up with the relevant authorities or organizations to inquire about the status of your application.
10
Be patient and prepared to provide any additional information or documentation as requested during the review process.
Who needs application instructions for emergency?
01
Anyone who is facing an emergency situation and requires immediate assistance can benefit from application instructions for emergency.
Fill
form
: Try Risk Free
For pdfFiller’s FAQs
Below is a list of the most common customer questions. If you can’t find an answer to your question, please don’t hesitate to reach out to us.
How can I send application instructions for emergency to be eSigned by others?
When your application instructions for emergency is finished, send it to recipients securely and gather eSignatures with pdfFiller. You may email, text, fax, mail, or notarize a PDF straight from your account. Create an account today to test it.
How can I get application instructions for emergency?
It's simple using pdfFiller, an online document management tool. Use our huge online form collection (over 25M fillable forms) to quickly discover the application instructions for emergency. Open it immediately and start altering it with sophisticated capabilities.
How do I complete application instructions for emergency on an iOS device?
Install the pdfFiller iOS app. Log in or create an account to access the solution's editing features. Open your application instructions for emergency by uploading it from your device or online storage. After filling in all relevant fields and eSigning if required, you may save or distribute the document.
What is application instructions for emergency?
Application instructions for emergency outline the steps to follow in case of an emergency situation.
Who is required to file application instructions for emergency?
All employees are required to file application instructions for emergency.
How to fill out application instructions for emergency?
To fill out application instructions for emergency, employees must provide their contact information, emergency contact information, and evacuation procedures.
What is the purpose of application instructions for emergency?
The purpose of application instructions for emergency is to ensure everyone knows what to do in case of an emergency.
What information must be reported on application instructions for emergency?
Information such as contact details, emergency procedures, and evacuation plans must be reported on application instructions for emergency.
Fill out your application instructions for emergency online with pdfFiller!
pdfFiller is an end-to-end solution for managing, creating, and editing documents and forms in the cloud. Save time and hassle by preparing your tax forms online.
Application Instructions For Emergency is not the form you're looking for?Search for another form here.
Relevant keywords
Related Forms
If you believe that this page should be taken down, please follow our DMCA take down process
here
.
This form may include fields for payment information. Data entered in these fields is not covered by PCI DSS compliance.