
Get the free Wildewood Community Association
Show details
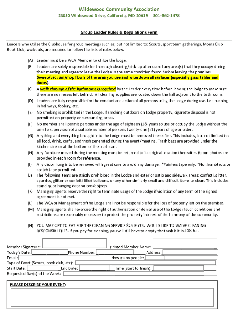
Wilde wood Community Association 23050 Wilde wood Drive, California, MD 206193018621478 Group Leader Rules & Regulations Form Leaders who utilize the Clubhouse for group meetings such as; but not
We are not affiliated with any brand or entity on this form
Get, Create, Make and Sign wildewood community association

Edit your wildewood community association form online
Type text, complete fillable fields, insert images, highlight or blackout data for discretion, add comments, and more.

Add your legally-binding signature
Draw or type your signature, upload a signature image, or capture it with your digital camera.

Share your form instantly
Email, fax, or share your wildewood community association form via URL. You can also download, print, or export forms to your preferred cloud storage service.
How to edit wildewood community association online
To use our professional PDF editor, follow these steps:
1
Check your account. If you don't have a profile yet, click Start Free Trial and sign up for one.
2
Prepare a file. Use the Add New button to start a new project. Then, using your device, upload your file to the system by importing it from internal mail, the cloud, or adding its URL.
3
Edit wildewood community association. Add and change text, add new objects, move pages, add watermarks and page numbers, and more. Then click Done when you're done editing and go to the Documents tab to merge or split the file. If you want to lock or unlock the file, click the lock or unlock button.
4
Save your file. Select it from your list of records. Then, move your cursor to the right toolbar and choose one of the exporting options. You can save it in multiple formats, download it as a PDF, send it by email, or store it in the cloud, among other things.
Uncompromising security for your PDF editing and eSignature needs
Your private information is safe with pdfFiller. We employ end-to-end encryption, secure cloud storage, and advanced access control to protect your documents and maintain regulatory compliance.
How to fill out wildewood community association

How to fill out wildewood community association
01
Obtain and review the wildewood community association form.
02
Fill out the personal information section, including your name, address, and contact details.
03
Provide any additional information requested, such as the names of family members or pets.
04
Indicate your preferred method of communication, such as email or phone.
05
Sign and date the form.
06
Submit the completed form to the wildewood community association office or designated drop-off location.
Who needs wildewood community association?
01
Residential property owners within the wildewood community area need the wildewood community association.
02
Those who wish to become active members of the community and participate in association events and activities also need it.
03
Individuals who want to stay informed about community issues, developments, and news can benefit from joining the association.
Fill
form
: Try Risk Free
For pdfFiller’s FAQs
Below is a list of the most common customer questions. If you can’t find an answer to your question, please don’t hesitate to reach out to us.
Can I create an electronic signature for the wildewood community association in Chrome?
You certainly can. You get not just a feature-rich PDF editor and fillable form builder with pdfFiller, but also a robust e-signature solution that you can add right to your Chrome browser. You may use our addon to produce a legally enforceable eSignature by typing, sketching, or photographing your signature with your webcam. Choose your preferred method and eSign your wildewood community association in minutes.
How do I fill out the wildewood community association form on my smartphone?
Use the pdfFiller mobile app to complete and sign wildewood community association on your mobile device. Visit our web page (https://edit-pdf-ios-android.pdffiller.com/) to learn more about our mobile applications, the capabilities you’ll have access to, and the steps to take to get up and running.
Can I edit wildewood community association on an iOS device?
You can. Using the pdfFiller iOS app, you can edit, distribute, and sign wildewood community association. Install it in seconds at the Apple Store. The app is free, but you must register to buy a subscription or start a free trial.
What is wildewood community association?
The Wildewood Community Association is a non-profit organization dedicated to serving the residents of the Wildewood neighborhood.
Who is required to file wildewood community association?
All residents of the Wildewood community are encouraged to participate in the association and may be required to file certain documents or forms.
How to fill out wildewood community association?
Residents can fill out the necessary forms or documents either online through the association's website or by contacting the association directly for assistance.
What is the purpose of wildewood community association?
The purpose of the Wildewood Community Association is to foster a sense of community, provide services and amenities to residents, and advocate for the neighborhood's interests.
What information must be reported on wildewood community association?
Information such as resident contact information, property ownership details, and any relevant community involvement or volunteer work may need to be reported on the Wildewood Community Association documents.
Fill out your wildewood community association online with pdfFiller!
pdfFiller is an end-to-end solution for managing, creating, and editing documents and forms in the cloud. Save time and hassle by preparing your tax forms online.

Wildewood Community Association is not the form you're looking for?Search for another form here.
Relevant keywords
Related Forms
If you believe that this page should be taken down, please follow our DMCA take down process
here
.
This form may include fields for payment information. Data entered in these fields is not covered by PCI DSS compliance.