Get the free Sampling and Analytical MethodsOccupational Safety and ...
Show details
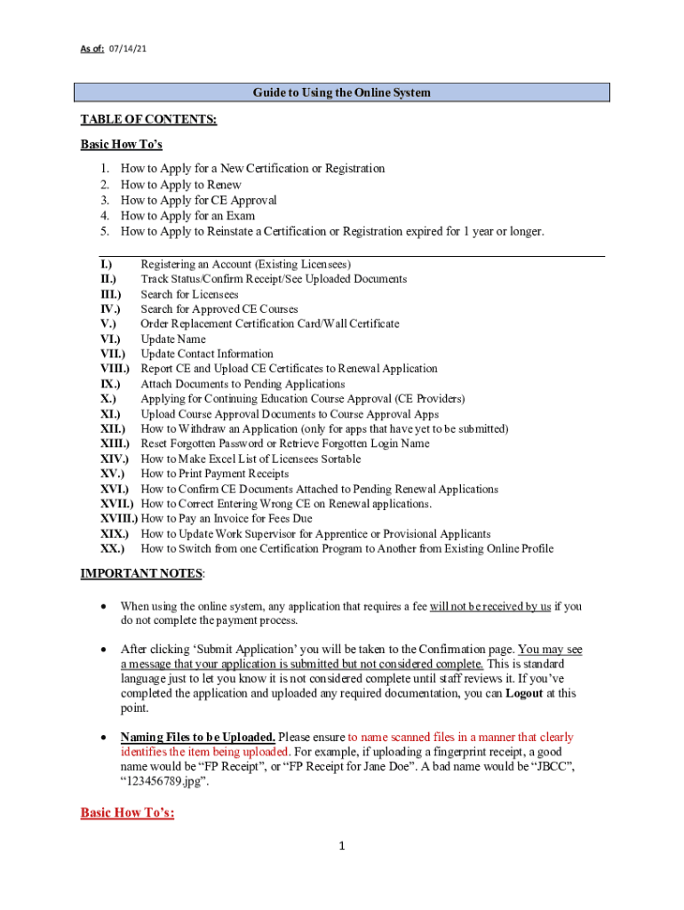
As of: 07/14/21Guide to Using the Online System TABLE OF CONTENTS: Basic How TOS 1. 2. 3. 4. 5. How to Apply for a New Certification or Registration How to Apply to Renew How to Apply for CE Approval
We are not affiliated with any brand or entity on this form
Get, Create, Make and Sign sampling and analytical methodsoccupational
Edit your sampling and analytical methodsoccupational form online
Type text, complete fillable fields, insert images, highlight or blackout data for discretion, add comments, and more.
Add your legally-binding signature
Draw or type your signature, upload a signature image, or capture it with your digital camera.
Share your form instantly
Email, fax, or share your sampling and analytical methodsoccupational form via URL. You can also download, print, or export forms to your preferred cloud storage service.
Editing sampling and analytical methodsoccupational online
To use the services of a skilled PDF editor, follow these steps below:
1
Check your account. In case you're new, it's time to start your free trial.
2
Upload a document. Select Add New on your Dashboard and transfer a file into the system in one of the following ways: by uploading it from your device or importing from the cloud, web, or internal mail. Then, click Start editing.
3
Edit sampling and analytical methodsoccupational. Add and replace text, insert new objects, rearrange pages, add watermarks and page numbers, and more. Click Done when you are finished editing and go to the Documents tab to merge, split, lock or unlock the file.
4
Get your file. Select the name of your file in the docs list and choose your preferred exporting method. You can download it as a PDF, save it in another format, send it by email, or transfer it to the cloud.
Uncompromising security for your PDF editing and eSignature needs
Your private information is safe with pdfFiller. We employ end-to-end encryption, secure cloud storage, and advanced access control to protect your documents and maintain regulatory compliance.
How to fill out sampling and analytical methodsoccupational
How to fill out sampling and analytical methodsoccupational
01
To fill out sampling and analytical methods for occupational purposes, follow these steps:
02
Begin by identifying the specific purpose of the sampling and analysis. This could be to measure the exposure levels to certain chemicals or substances in the workplace.
03
Determine the appropriate sampling method based on the substance or hazard being assessed. There are different methods for different types of substances, such as air sampling, surface sampling, or personal sampling.
04
Familiarize yourself with the sampling equipment required for the chosen method. This may include air pumps, filters, sampling media, and personal protective equipment.
05
Develop a sampling plan that outlines the sampling locations, frequencies, and duration. This plan should consider the potential sources of exposure and the different work shifts.
06
Train the personnel who will be involved in the sampling and analysis process. They should understand the proper sampling techniques, safety precautions, and equipment handling.
07
Conduct the sampling activities as per the plan. This involves following the correct procedures for sample collection, such as calibrating the equipment, properly labeling the samples, and maintaining sample integrity.
08
Ensure proper storage and transportation of the collected samples. This may include keeping them at the correct temperature or preserving them in appropriate containers.
09
Proceed with the analytical methods once the samples have been transported to the laboratory. This may involve techniques such as gas chromatography, spectroscopy, or mass spectrometry.
10
Document and record all the relevant data and observations during the sampling and analysis process. This information will be essential for further evaluation and comparison in the future.
11
Finally, prepare a comprehensive report presenting the results of the sampling and analysis. This should include the findings, conclusions, recommendations, and any necessary corrective actions to be taken.
Who needs sampling and analytical methodsoccupational?
01
Sampling and analytical methods for occupational purposes are needed by various individuals and organizations, including:
02
- Occupational health and safety professionals who want to assess the workplace exposure levels to certain hazardous substances.
03
- Employers who are legally obligated to provide a safe working environment and comply with occupational health and safety regulations.
04
- Government regulatory agencies responsible for setting standards and enforcing regulations related to occupational health and safety.
05
- Industrial hygienists who evaluate and control workplace hazards to prevent occupational illnesses and injuries.
06
- Researchers and scientists studying occupational health and safety, as well as the impacts of certain substances on workers' health.
07
- Workers and labor unions who want to ensure their working conditions are safe and free from harmful exposures.
08
- Environmental consultants who assist organizations in complying with environmental regulations and conducting risk assessments.
Fill
form
: Try Risk Free
For pdfFiller’s FAQs
Below is a list of the most common customer questions. If you can’t find an answer to your question, please don’t hesitate to reach out to us.
How can I manage my sampling and analytical methodsoccupational directly from Gmail?
Using pdfFiller's Gmail add-on, you can edit, fill out, and sign your sampling and analytical methodsoccupational and other papers directly in your email. You may get it through Google Workspace Marketplace. Make better use of your time by handling your papers and eSignatures.
Where do I find sampling and analytical methodsoccupational?
The premium pdfFiller subscription gives you access to over 25M fillable templates that you can download, fill out, print, and sign. The library has state-specific sampling and analytical methodsoccupational and other forms. Find the template you need and change it using powerful tools.
Can I sign the sampling and analytical methodsoccupational electronically in Chrome?
Yes. You can use pdfFiller to sign documents and use all of the features of the PDF editor in one place if you add this solution to Chrome. In order to use the extension, you can draw or write an electronic signature. You can also upload a picture of your handwritten signature. There is no need to worry about how long it takes to sign your sampling and analytical methodsoccupational.
What is sampling and analytical methods occupational?
Sampling and analytical methods occupational refers to the procedures and techniques used to collect and analyze samples in the workplace to ensure compliance with safety and health regulations.
Who is required to file sampling and analytical methods occupational?
Employers in industries where exposure to hazardous substances is a concern are required to file sampling and analytical methods occupational.
How to fill out sampling and analytical methods occupational?
Sampling and analytical methods occupational forms typically require information about the types of samples collected, the analysis methods used, and any corrective actions taken based on the results.
What is the purpose of sampling and analytical methods occupational?
The purpose of sampling and analytical methods occupational is to monitor and assess the levels of hazardous substances in the workplace to protect the health and safety of workers.
What information must be reported on sampling and analytical methods occupational?
Information such as the date and time of sampling, type of sample collected, analysis results, and any actions taken based on the results must be reported on sampling and analytical methods occupational.
Fill out your sampling and analytical methodsoccupational online with pdfFiller!
pdfFiller is an end-to-end solution for managing, creating, and editing documents and forms in the cloud. Save time and hassle by preparing your tax forms online.
Sampling And Analytical Methodsoccupational is not the form you're looking for?Search for another form here.
Relevant keywords
Related Forms
If you believe that this page should be taken down, please follow our DMCA take down process
here
.
This form may include fields for payment information. Data entered in these fields is not covered by PCI DSS compliance.