
Get the free Contract AgreementLaw Insider
Show details
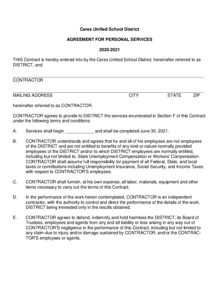
Ceres Unified School District AGREEMENT FOR PERSONAL SERVICES 20202021 THIS Contract is hereby entered into by the Ceres Unified School District, hereinafter referred to as DISTRICT, and CONTRACTOR
We are not affiliated with any brand or entity on this form
Get, Create, Make and Sign contract agreementlaw insider

Edit your contract agreementlaw insider form online
Type text, complete fillable fields, insert images, highlight or blackout data for discretion, add comments, and more.

Add your legally-binding signature
Draw or type your signature, upload a signature image, or capture it with your digital camera.

Share your form instantly
Email, fax, or share your contract agreementlaw insider form via URL. You can also download, print, or export forms to your preferred cloud storage service.
How to edit contract agreementlaw insider online
In order to make advantage of the professional PDF editor, follow these steps:
1
Create an account. Begin by choosing Start Free Trial and, if you are a new user, establish a profile.
2
Prepare a file. Use the Add New button. Then upload your file to the system from your device, importing it from internal mail, the cloud, or by adding its URL.
3
Edit contract agreementlaw insider. Replace text, adding objects, rearranging pages, and more. Then select the Documents tab to combine, divide, lock or unlock the file.
4
Save your file. Select it from your records list. Then, click the right toolbar and select one of the various exporting options: save in numerous formats, download as PDF, email, or cloud.
With pdfFiller, it's always easy to work with documents.
Uncompromising security for your PDF editing and eSignature needs
Your private information is safe with pdfFiller. We employ end-to-end encryption, secure cloud storage, and advanced access control to protect your documents and maintain regulatory compliance.
How to fill out contract agreementlaw insider

How to fill out contract agreementlaw insider
01
To fill out a contract agreement on Law Insider, follow these steps:
02
Access the Law Insider website and navigate to the contract agreement template you want to use.
03
Read and understand the terms and conditions of the contract agreement.
04
Fill in the necessary information in the provided fields. This may include personal details, company information, and specific terms of the agreement.
05
Review the filled-out contract agreement carefully, ensuring all details are accurate and complete.
06
Make any necessary revisions or edits to the agreement.
07
Save a copy of the completed contract agreement for your records.
08
Print or electronically sign the agreement, depending on the requirements of the specific contract and applicable laws.
09
Distribute copies of the signed contract agreement to all relevant parties involved.
10
Note: It is recommended to consult with a legal professional to ensure the contract agreement meets all necessary legal requirements and adequately protects your interests.
Who needs contract agreementlaw insider?
01
Anyone who needs to create or fill out a contract agreement can benefit from using Law Insider. This includes individuals, businesses, organizations, and legal professionals.
02
Lawyers and legal professionals can especially benefit from the resources and templates provided by Law Insider to streamline the process of creating and reviewing contract agreements.
03
Additionally, individuals and businesses without legal expertise can use Law Insider to access pre-drafted contract templates and easily fill them out with their specific information.
04
Whether you are creating a simple agreement or a complex legal document, Law Insider offers a convenient platform for generating reliable contract agreements.
Fill
form
: Try Risk Free
For pdfFiller’s FAQs
Below is a list of the most common customer questions. If you can’t find an answer to your question, please don’t hesitate to reach out to us.
How can I send contract agreementlaw insider for eSignature?
When you're ready to share your contract agreementlaw insider, you can send it to other people and get the eSigned document back just as quickly. Share your PDF by email, fax, text message, or USPS mail. You can also notarize your PDF on the web. You don't have to leave your account to do this.
How do I fill out the contract agreementlaw insider form on my smartphone?
Use the pdfFiller mobile app to fill out and sign contract agreementlaw insider. Visit our website (https://edit-pdf-ios-android.pdffiller.com/) to learn more about our mobile applications, their features, and how to get started.
How do I edit contract agreementlaw insider on an iOS device?
Use the pdfFiller app for iOS to make, edit, and share contract agreementlaw insider from your phone. Apple's store will have it up and running in no time. It's possible to get a free trial and choose a subscription plan that fits your needs.
What is contract agreementlaw insider?
Contract agreementlaw insider is a legal document that outlines the terms and conditions of a contract agreement between two or more parties.
Who is required to file contract agreementlaw insider?
The parties involved in the contract agreement are required to file contract agreementlaw insider.
How to fill out contract agreementlaw insider?
Contract agreementlaw insider can be filled out by providing the necessary details such as names of the parties, terms of agreement, signatures, etc.
What is the purpose of contract agreementlaw insider?
The purpose of contract agreementlaw insider is to formally document the terms and conditions agreed upon by the parties involved in a contract.
What information must be reported on contract agreementlaw insider?
Information such as names of the parties, date of agreement, terms and conditions, signatures, and any additional clauses must be reported on contract agreementlaw insider.
Fill out your contract agreementlaw insider online with pdfFiller!
pdfFiller is an end-to-end solution for managing, creating, and editing documents and forms in the cloud. Save time and hassle by preparing your tax forms online.

Contract Agreementlaw Insider is not the form you're looking for?Search for another form here.
Relevant keywords
Related Forms
If you believe that this page should be taken down, please follow our DMCA take down process
here
.
This form may include fields for payment information. Data entered in these fields is not covered by PCI DSS compliance.