Form preview

Get the free Promissory Transfer of Shares Agreement dated May 17, 2006 template

Get Form
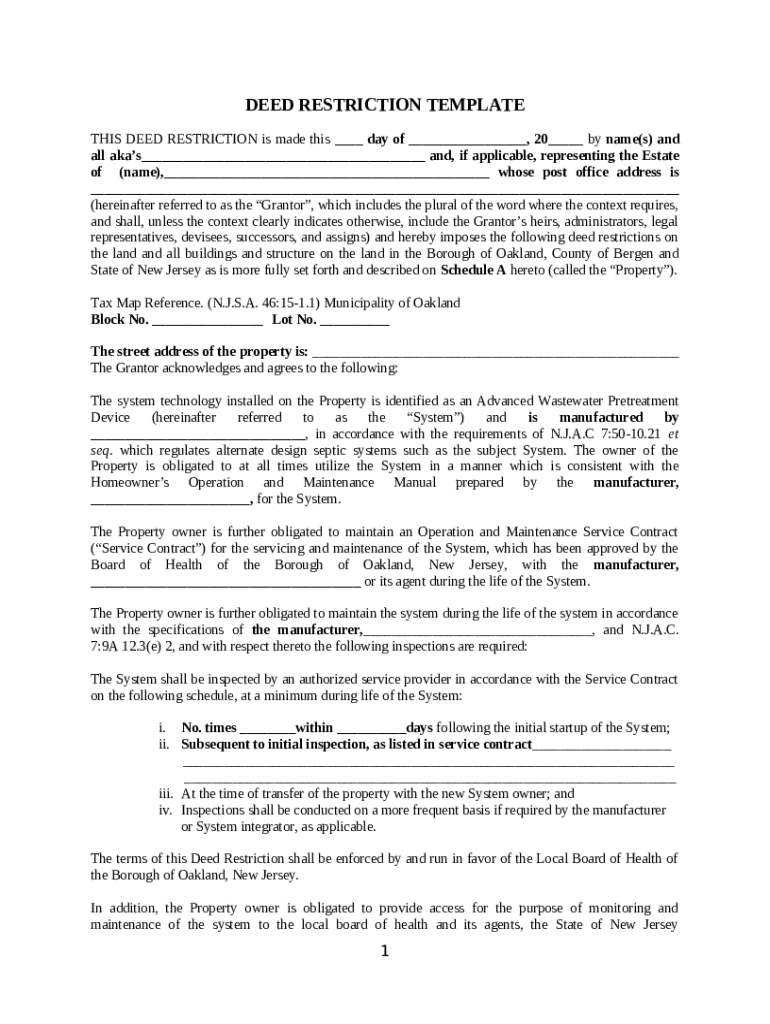
DEED RESTRICTION TEMPLATES DEED RESTRICTION is made this day of, 20 by name(s) and all aka's and, if applicable, representing the Estate of (name), whose post office address is (hereinafter referred
We are not affiliated with any brand or entity on this form

Get, Create, Make and Sign promissory transfer of shares

Edit
Edit your promissory transfer of shares form online
Type text, complete fillable fields, insert images, highlight or blackout data for discretion, add comments, and more.
Add
Add your legally-binding signature
Draw or type your signature, upload a signature image, or capture it with your digital camera.
Share
Share your form instantly
Email, fax, or share your promissory transfer of shares form via URL. You can also download, print, or export forms to your preferred cloud storage service.

How to edit promissory transfer of shares online

9.5
Ease of Setup
pdfFiller User Ratings on G2
9.0
Ease of Use
pdfFiller User Ratings on G2
To use the professional PDF editor, follow these steps below:
1
Create an account. Begin by choosing Start Free Trial and, if you are a new user, establish a profile.
2
Prepare a file. Use the Add New button. Then upload your file to the system from your device, importing it from internal mail, the cloud, or by adding its URL.
3
Edit promissory transfer of shares. Rearrange and rotate pages, insert new and alter existing texts, add new objects, and take advantage of other helpful tools. Click Done to apply changes and return to your Dashboard. Go to the Documents tab to access merging, splitting, locking, or unlocking functions.
4
Save your file. Choose it from the list of records. Then, shift the pointer to the right toolbar and select one of the several exporting methods: save it in multiple formats, download it as a PDF, email it, or save it to the cloud.
With pdfFiller, it's always easy to deal with documents.

Uncompromising security for your PDF editing and eSignature needs

Your private information is safe with pdfFiller. We employ end-to-end encryption, secure cloud storage, and advanced access control to protect your documents and maintain regulatory compliance.
GDPR
AICPA SOC 2
PCI
HIPAA
CCPA
FDA

What is Promissory Transfer of Shares Agreement dated May 17, 2006 Form?

The Promissory Transfer of Shares Agreement dated May 17, 2006 is a fillable form in MS Word extension that should be submitted to the specific address in order to provide certain information. It must be filled-out and signed, which is possible in hard copy, or via a certain software like PDFfiller. It helps to complete any PDF or Word document right in the web, customize it depending on your needs and put a legally-binding e-signature. Once after completion, the user can easily send the Promissory Transfer of Shares Agreement dated May 17, 2006 to the appropriate recipient, or multiple recipients via email or fax. The editable template is printable too thanks to PDFfiller feature and options proposed for printing out adjustment. In both electronic and in hard copy, your form will have got neat and professional look. Also you can save it as the template to use later, there's no need to create a new document over and over. You need just to customize the ready form.

Instructions for the Promissory Transfer of Shares Agreement dated May 17, 2006 form

Before to fill out Promissory Transfer of Shares Agreement dated May 17, 2006 MS Word form, remember to prepared all the necessary information. It's a important part, since some errors can trigger unpleasant consequences starting with re-submission of the full word template and filling out with deadlines missed and even penalties. You ought to be really observative when working with figures. At first glance, you might think of it as to be uncomplicated. Nevertheless, it's easy to make a mistake. Some use such lifehack as keeping all data in a separate document or a record book and then insert it's content into documents' samples. Nevertheless, try to make all efforts and present actual and correct data in Promissory Transfer of Shares Agreement dated May 17, 2006 .doc form, and check it twice when filling out all fields. If it appears that some mistakes still persist, you can easily make some more amends while using PDFfiller application and avoid blown deadlines.

Promissory Transfer of Shares Agreement dated May 17, 2006 word template: frequently asked questions

1. Would it be legal to file forms digitally?

According to ESIGN Act 2000, forms submitted and authorized by using an electronic signature are considered to be legally binding, just like their physical analogs. This means you are free to rightfully complete and submit Promissory Transfer of Shares Agreement dated May 17, 2006 fillable form to the individual or organization needed to use digital solution that meets all requirements based on particular terms, like PDFfiller.

2. Is it risk-free to submit personal documents from web application?

Yes, it is completely safe because of options delivered by the product you use for your work flow. For instance, PDFfiller offers the pros like:

  • Your data is stored in the cloud supplied with multi-level encryption, and prohibited from disclosure. It is the user only who has access to data.
  • Each word file signed has its own unique ID, so it can’t be faked.
  • User can set additional protection settings such as user verification by picture or security password. There's also an option to secure entire directory with encryption. Just place your Promissory Transfer of Shares Agreement dated May 17, 2006 writable template and set your password.

3. Can I transfer required data to the .doc form from another file?

To export data from one file to another, you need a specific feature. In PDFfiller, we call it Fill in Bulk. Using this one, you are able to take data from the Excel spread sheet and put it into your file.

Fill form : Try Risk Free
Users Most Likely To Recommend - Summer 2025
Grid Leader in Small-Business - Summer 2025
High Performer - Summer 2025
Regional Leader - Summer 2025
Easiest To Do Business With - Summer 2025
Best Meets Requirements- Summer 2025
Rate the form
4.1
Satisfied
54 Votes

For pdfFiller’s FAQs

Below is a list of the most common customer questions. If you can’t find an answer to your question, please don’t hesitate to reach out to us.

pdfFiller’s add-on for Gmail enables you to create, edit, fill out and eSign your promissory transfer of shares and any other documents you receive right in your inbox. Visit Google Workspace Marketplace and install pdfFiller for Gmail. Get rid of time-consuming steps and manage your documents and eSignatures effortlessly.
Adding the pdfFiller Google Chrome Extension to your web browser will allow you to start editing promissory transfer of shares and other documents right away when you search for them on a Google page. People who use Chrome can use the service to make changes to their files while they are on the Chrome browser. pdfFiller lets you make fillable documents and make changes to existing PDFs from any internet-connected device.
Complete promissory transfer of shares and other documents on your Android device with the pdfFiller app. The software allows you to modify information, eSign, annotate, and share files. You may view your papers from anywhere with an internet connection.
Promissory transfer of shares is a legal agreement where the owner of shares promises to transfer ownership to another party at a future date.
The owner of the shares who is promising to transfer ownership is required to file the promissory transfer of shares.
To fill out a promissory transfer of shares, the owner must provide details of the shares, both parties involved, date of transfer, and any other relevant information.
The purpose of promissory transfer of shares is to legally document the agreement between the current owner and the future owner regarding the transfer of ownership.
The promissory transfer of shares must include details of the shares, names of the parties involved, date of transfer, terms of the agreement, and any other relevant information.
Fill out your promissory transfer of shares online with pdfFiller!

pdfFiller is an end-to-end solution for managing, creating, and editing documents and forms in the cloud. Save time and hassle by preparing your tax forms online.

Get started now
Form preview
If you believe that this page should be taken down, please follow our DMCA take down process here .
This form may include fields for payment information. Data entered in these fields is not covered by PCI DSS compliance.