Get the free PDF THIS AGREEMENT is made thisday of , 20, in ...
Show details
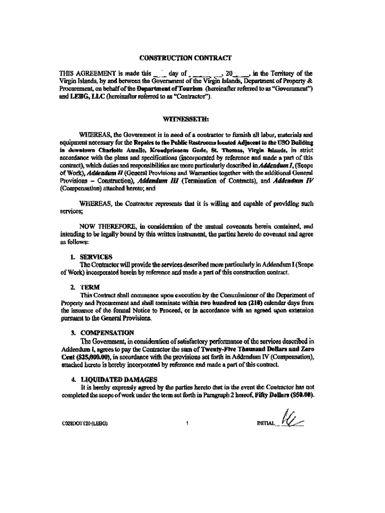
CONSTRUCTION CONTRACT AIDS AGREEMENT is made this day of., .,., 20....., in the Territory of the Virgin Islands, by and between the Government of the Virgin Islands, Department of Property & Procurement,
We are not affiliated with any brand or entity on this form
Get, Create, Make and Sign pdf this agreement is
Edit your pdf this agreement is form online
Type text, complete fillable fields, insert images, highlight or blackout data for discretion, add comments, and more.
Add your legally-binding signature
Draw or type your signature, upload a signature image, or capture it with your digital camera.
Share your form instantly
Email, fax, or share your pdf this agreement is form via URL. You can also download, print, or export forms to your preferred cloud storage service.
Editing pdf this agreement is online
Follow the steps below to use a professional PDF editor:
1
Log in. Click Start Free Trial and create a profile if necessary.
2
Upload a document. Select Add New on your Dashboard and transfer a file into the system in one of the following ways: by uploading it from your device or importing from the cloud, web, or internal mail. Then, click Start editing.
3
Edit pdf this agreement is. Add and change text, add new objects, move pages, add watermarks and page numbers, and more. Then click Done when you're done editing and go to the Documents tab to merge or split the file. If you want to lock or unlock the file, click the lock or unlock button.
4
Save your file. Select it from your list of records. Then, move your cursor to the right toolbar and choose one of the exporting options. You can save it in multiple formats, download it as a PDF, send it by email, or store it in the cloud, among other things.
pdfFiller makes working with documents easier than you could ever imagine. Create an account to find out for yourself how it works!
Uncompromising security for your PDF editing and eSignature needs
Your private information is safe with pdfFiller. We employ end-to-end encryption, secure cloud storage, and advanced access control to protect your documents and maintain regulatory compliance.
How to fill out pdf this agreement is
How to fill out pdf this agreement is
01
To fill out this agreement in PDF format, follow these steps:
02
Download the PDF file onto your device.
03
Open the PDF file using a PDF reader or editor software.
04
Locate the fields that need to be filled out in the agreement.
05
Click on the first field and start typing in the required information.
06
Move to the next field and repeat the process until all the necessary information is filled in.
07
Review the filled-out agreement to ensure accuracy and completeness.
08
Save the filled-out PDF agreement onto your device or print a hard copy as needed.
Who needs pdf this agreement is?
01
PDF this agreement is useful for individuals or organizations involved in legal or contractual transactions that require a written agreement.
02
Examples of individuals and organizations who may need this agreement include:
03
- Business owners and entrepreneurs entering into partnership agreements.
04
- Landlords and tenants documenting lease agreements.
05
- Employers and employees establishing employment contracts.
06
- Service providers and clients formalizing service agreements.
07
- Freelancers and clients outlining project agreements.
08
- Buyers and sellers finalizing purchase agreements.
Fill
form
: Try Risk Free
For pdfFiller’s FAQs
Below is a list of the most common customer questions. If you can’t find an answer to your question, please don’t hesitate to reach out to us.
How do I make changes in pdf this agreement is?
With pdfFiller, you may not only alter the content but also rearrange the pages. Upload your pdf this agreement is and modify it with a few clicks. The editor lets you add photos, sticky notes, text boxes, and more to PDFs.
Can I sign the pdf this agreement is electronically in Chrome?
As a PDF editor and form builder, pdfFiller has a lot of features. It also has a powerful e-signature tool that you can add to your Chrome browser. With our extension, you can type, draw, or take a picture of your signature with your webcam to make your legally-binding eSignature. Choose how you want to sign your pdf this agreement is and you'll be done in minutes.
How do I complete pdf this agreement is on an Android device?
Complete your pdf this agreement is and other papers on your Android device by using the pdfFiller mobile app. The program includes all of the necessary document management tools, such as editing content, eSigning, annotating, sharing files, and so on. You will be able to view your papers at any time as long as you have an internet connection.
What is pdf this agreement is?
PDF this agreement is a digital document that outlines the terms and conditions of an agreement between two or more parties.
Who is required to file pdf this agreement is?
The parties involved in the agreement are required to file the PDF document.
How to fill out pdf this agreement is?
The PDF agreement can be filled out by typing the required information directly into the document fields or by printing it out and handwriting the information.
What is the purpose of pdf this agreement is?
The purpose of the PDF agreement is to clearly define the rights, responsibilities, and expectations of all parties involved in the agreement.
What information must be reported on pdf this agreement is?
The information that must be reported on the PDF agreement includes the names of the parties involved, the terms of the agreement, and any other pertinent details.
Fill out your pdf this agreement is online with pdfFiller!
pdfFiller is an end-to-end solution for managing, creating, and editing documents and forms in the cloud. Save time and hassle by preparing your tax forms online.
Pdf This Agreement Is is not the form you're looking for?Search for another form here.
Relevant keywords
Related Forms
If you believe that this page should be taken down, please follow our DMCA take down process
here
.
This form may include fields for payment information. Data entered in these fields is not covered by PCI DSS compliance.