Get the free St. Charles County Recorder of Deeds
Show details
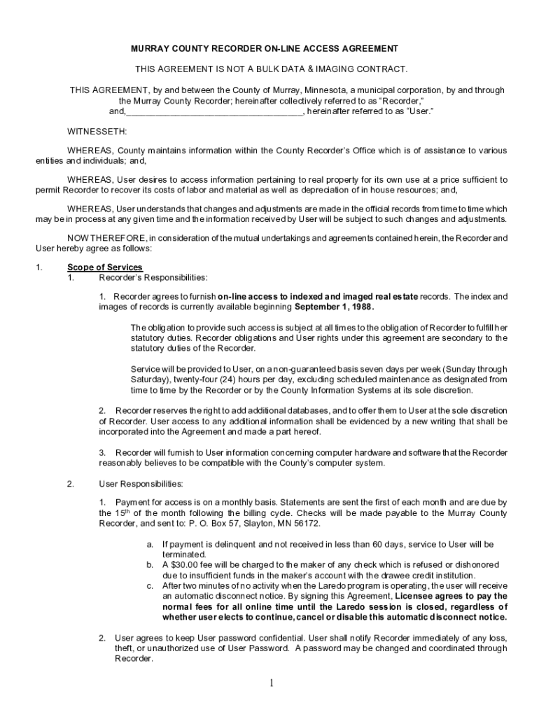
MURRAY COUNTY RECORDER ONLINE ACCESS AGREEMENT THIS AGREEMENT IS NOT A BULK DATA & IMAGING CONTRACT. THIS AGREEMENT, by and between the County of Murray, Minnesota, a municipal corporation, by and
We are not affiliated with any brand or entity on this form
Get, Create, Make and Sign st charles county recorder
Edit your st charles county recorder form online
Type text, complete fillable fields, insert images, highlight or blackout data for discretion, add comments, and more.
Add your legally-binding signature
Draw or type your signature, upload a signature image, or capture it with your digital camera.
Share your form instantly
Email, fax, or share your st charles county recorder form via URL. You can also download, print, or export forms to your preferred cloud storage service.
How to edit st charles county recorder online
Use the instructions below to start using our professional PDF editor:
1
Log in to your account. Click Start Free Trial and sign up a profile if you don't have one.
2
Prepare a file. Use the Add New button to start a new project. Then, using your device, upload your file to the system by importing it from internal mail, the cloud, or adding its URL.
3
Edit st charles county recorder. Add and change text, add new objects, move pages, add watermarks and page numbers, and more. Then click Done when you're done editing and go to the Documents tab to merge or split the file. If you want to lock or unlock the file, click the lock or unlock button.
4
Save your file. Select it from your list of records. Then, move your cursor to the right toolbar and choose one of the exporting options. You can save it in multiple formats, download it as a PDF, send it by email, or store it in the cloud, among other things.
Uncompromising security for your PDF editing and eSignature needs
Your private information is safe with pdfFiller. We employ end-to-end encryption, secure cloud storage, and advanced access control to protect your documents and maintain regulatory compliance.
How to fill out st charles county recorder
How to fill out st charles county recorder
01
Step 1: Obtain the necessary forms for filling out the St. Charles County Recorder.
02
Step 2: Provide the required information, such as the property owner's name, legal description of the property, and any relevant documentation.
03
Step 3: Double-check all the information provided to ensure accuracy and completeness.
04
Step 4: Submit the filled-out forms and any required supporting documents to the St. Charles County Recorder's office.
05
Step 5: Pay any necessary fees for filing the documents.
06
Step 6: Wait for the documents to be processed and recorded by the St. Charles County Recorder's office.
07
Step 7: Obtain a copy of the recorded documents for your records if desired.
Who needs st charles county recorder?
01
Individuals who own property in St. Charles County and need to legally document ownership or make changes to property records.
02
Real estate agents and title companies who handle property transactions in St. Charles County and require accurate and up-to-date property records.
03
Legal professionals who need to access historical property records for research or legal purposes.
04
Anyone involved in property disputes or lawsuits in St. Charles County who may need to provide evidence or support their claims with recorded property documents.
Fill
form
: Try Risk Free
For pdfFiller’s FAQs
Below is a list of the most common customer questions. If you can’t find an answer to your question, please don’t hesitate to reach out to us.
Can I sign the st charles county recorder electronically in Chrome?
Yes. By adding the solution to your Chrome browser, you may use pdfFiller to eSign documents while also enjoying all of the PDF editor's capabilities in one spot. Create a legally enforceable eSignature by sketching, typing, or uploading a photo of your handwritten signature using the extension. Whatever option you select, you'll be able to eSign your st charles county recorder in seconds.
How do I complete st charles county recorder on an iOS device?
Install the pdfFiller app on your iOS device to fill out papers. If you have a subscription to the service, create an account or log in to an existing one. After completing the registration process, upload your st charles county recorder. You may now use pdfFiller's advanced features, such as adding fillable fields and eSigning documents, and accessing them from any device, wherever you are.
How do I complete st charles county recorder on an Android device?
Use the pdfFiller mobile app and complete your st charles county recorder and other documents on your Android device. The app provides you with all essential document management features, such as editing content, eSigning, annotating, sharing files, etc. You will have access to your documents at any time, as long as there is an internet connection.
What is st charles county recorder?
The St. Charles County Recorder is responsible for maintaining public records related to property ownership and real estate transactions within the county.
Who is required to file st charles county recorder?
Property owners and individuals involved in real estate transactions are required to file with the St. Charles County Recorder.
How to fill out st charles county recorder?
To fill out the St. Charles County Recorder, individuals must provide information about the property or real estate transaction, including details about the parties involved.
What is the purpose of st charles county recorder?
The purpose of the St. Charles County Recorder is to create a public record of property ownership and real estate transactions to ensure transparency and legal clarity.
What information must be reported on st charles county recorder?
Information such as names of property owners, legal description of property, and details of real estate transactions must be reported on the St. Charles County Recorder.
Fill out your st charles county recorder online with pdfFiller!
pdfFiller is an end-to-end solution for managing, creating, and editing documents and forms in the cloud. Save time and hassle by preparing your tax forms online.
St Charles County Recorder is not the form you're looking for?Search for another form here.
Relevant keywords
Related Forms
If you believe that this page should be taken down, please follow our DMCA take down process
here
.
This form may include fields for payment information. Data entered in these fields is not covered by PCI DSS compliance.