Get the free Search Results for: exempt from sole source - Procurement ...
Show details
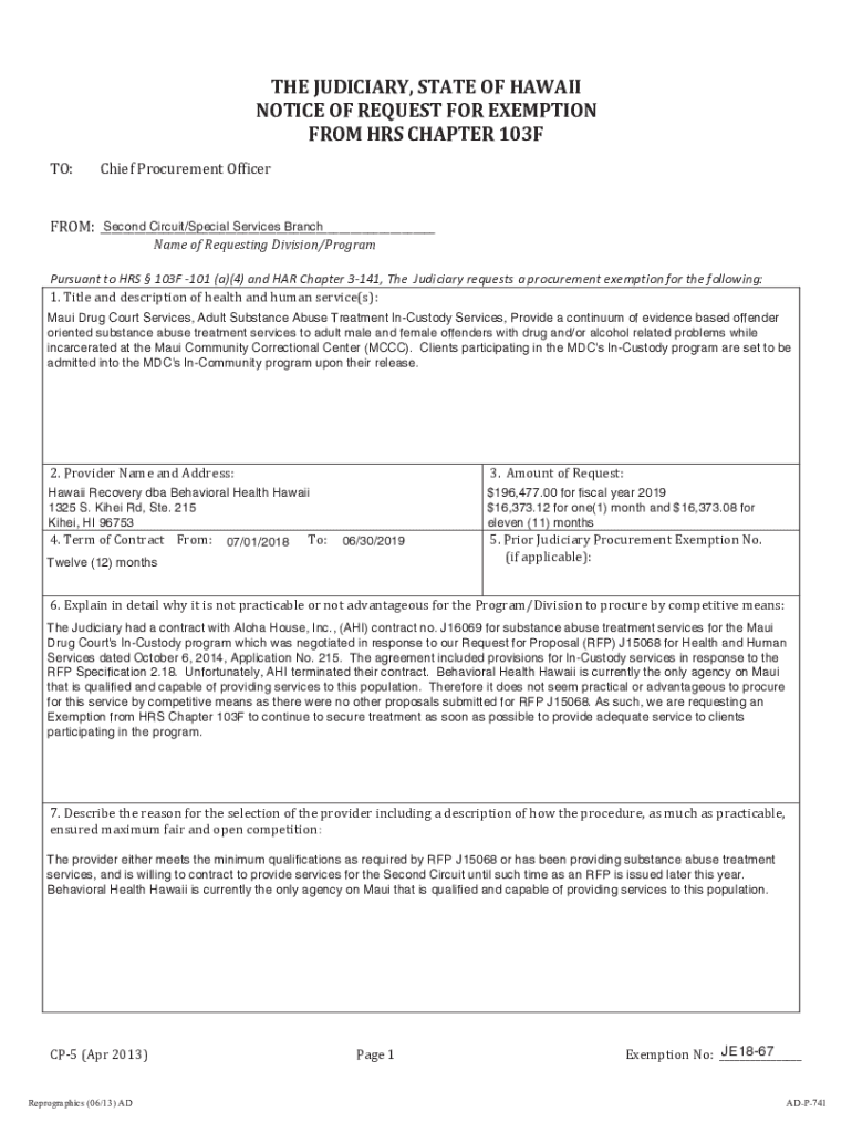
THE JUDICIARY, STATE OF HAWAII NOTICE OF REQUEST FOR EXEMPTION FROM HRS CHAPTER 103F TO:Chief Procurement OfficerSecond Circuit/Special Services Branch FROM: Name of Requesting Division/Program Pursuant
We are not affiliated with any brand or entity on this form
Get, Create, Make and Sign search results for exempt
Edit your search results for exempt form online
Type text, complete fillable fields, insert images, highlight or blackout data for discretion, add comments, and more.
Add your legally-binding signature
Draw or type your signature, upload a signature image, or capture it with your digital camera.
Share your form instantly
Email, fax, or share your search results for exempt form via URL. You can also download, print, or export forms to your preferred cloud storage service.
How to edit search results for exempt online
To use our professional PDF editor, follow these steps:
1
Check your account. In case you're new, it's time to start your free trial.
2
Upload a file. Select Add New on your Dashboard and upload a file from your device or import it from the cloud, online, or internal mail. Then click Edit.
3
Edit search results for exempt. Replace text, adding objects, rearranging pages, and more. Then select the Documents tab to combine, divide, lock or unlock the file.
4
Save your file. Choose it from the list of records. Then, shift the pointer to the right toolbar and select one of the several exporting methods: save it in multiple formats, download it as a PDF, email it, or save it to the cloud.
Uncompromising security for your PDF editing and eSignature needs
Your private information is safe with pdfFiller. We employ end-to-end encryption, secure cloud storage, and advanced access control to protect your documents and maintain regulatory compliance.
How to fill out search results for exempt
How to fill out search results for exempt
01
To fill out search results for exempt, follow these steps:
02
Start by accessing the search results form for exempt.
03
Fill in the required fields such as the name of the person or entity being searched.
04
Provide any additional details or criteria for the search, if necessary.
05
Double-check the accuracy of the entered information.
06
Submit the form and wait for the search results to be generated.
07
Review the search results and analyze the findings.
08
Take any appropriate actions based on the search results obtained.
Who needs search results for exempt?
01
Search results for exempt may be needed by various individuals or organizations, including:
02
- Legal professionals who need to conduct research on exempt entities or individuals.
03
- Government agencies responsible for regulatory compliance and enforcement.
04
- Financial institutions conducting due diligence on potential clients or business partners.
05
- Employers verifying the exempt status of job applicants or employees.
06
- Researchers or analysts studying exempt entities or individuals for academic or professional purposes.
07
- Individuals or businesses involved in legal disputes or litigation where exempt status is relevant.
08
- Anyone seeking information about exempt entities or individuals for personal or business reasons.
Fill
form
: Try Risk Free
For pdfFiller’s FAQs
Below is a list of the most common customer questions. If you can’t find an answer to your question, please don’t hesitate to reach out to us.
How can I send search results for exempt for eSignature?
Once your search results for exempt is complete, you can securely share it with recipients and gather eSignatures with pdfFiller in just a few clicks. You may transmit a PDF by email, text message, fax, USPS mail, or online notarization directly from your account. Make an account right now and give it a go.
How do I edit search results for exempt in Chrome?
Adding the pdfFiller Google Chrome Extension to your web browser will allow you to start editing search results for exempt and other documents right away when you search for them on a Google page. People who use Chrome can use the service to make changes to their files while they are on the Chrome browser. pdfFiller lets you make fillable documents and make changes to existing PDFs from any internet-connected device.
How do I fill out search results for exempt using my mobile device?
Use the pdfFiller mobile app to fill out and sign search results for exempt on your phone or tablet. Visit our website to learn more about our mobile apps, how they work, and how to get started.
What is search results for exempt?
Search results for exempt are documents that provide information on entities or individuals that are exempt from certain regulations or requirements.
Who is required to file search results for exempt?
Entities or individuals who meet the criteria for exemption are required to file search results for exempt.
How to fill out search results for exempt?
Search results for exempt can be filled out by providing the necessary information on the exempt entity or individual, as well as any supporting documentation.
What is the purpose of search results for exempt?
The purpose of search results for exempt is to track and record entities or individuals that are exempt from certain regulations or requirements.
What information must be reported on search results for exempt?
Information such as the name of the exempt entity or individual, the reason for exemption, and any relevant details must be reported on search results for exempt.
Fill out your search results for exempt online with pdfFiller!
pdfFiller is an end-to-end solution for managing, creating, and editing documents and forms in the cloud. Save time and hassle by preparing your tax forms online.
Search Results For Exempt is not the form you're looking for?Search for another form here.
Relevant keywords
Related Forms
If you believe that this page should be taken down, please follow our DMCA take down process
here
.
This form may include fields for payment information. Data entered in these fields is not covered by PCI DSS compliance.