
Get the free Evaluators' Protocol - Adopted and Official
Show details
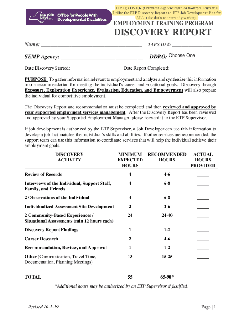
During COVID-19 Provider Agencies with Authorized Hours will Utilize the ETP Discovery Report and ETP Job Development Plan for ALL individuals not currently working. EMPLOYMENT TRAINING PROGRAMDISCOVERY
We are not affiliated with any brand or entity on this form
Get, Create, Make and Sign evaluators protocol - adopted

Edit your evaluators protocol - adopted form online
Type text, complete fillable fields, insert images, highlight or blackout data for discretion, add comments, and more.

Add your legally-binding signature
Draw or type your signature, upload a signature image, or capture it with your digital camera.

Share your form instantly
Email, fax, or share your evaluators protocol - adopted form via URL. You can also download, print, or export forms to your preferred cloud storage service.
Editing evaluators protocol - adopted online
Follow the steps below to use a professional PDF editor:
1
Create an account. Begin by choosing Start Free Trial and, if you are a new user, establish a profile.
2
Upload a file. Select Add New on your Dashboard and upload a file from your device or import it from the cloud, online, or internal mail. Then click Edit.
3
Edit evaluators protocol - adopted. Rearrange and rotate pages, insert new and alter existing texts, add new objects, and take advantage of other helpful tools. Click Done to apply changes and return to your Dashboard. Go to the Documents tab to access merging, splitting, locking, or unlocking functions.
4
Get your file. Select the name of your file in the docs list and choose your preferred exporting method. You can download it as a PDF, save it in another format, send it by email, or transfer it to the cloud.
With pdfFiller, it's always easy to work with documents.
Uncompromising security for your PDF editing and eSignature needs
Your private information is safe with pdfFiller. We employ end-to-end encryption, secure cloud storage, and advanced access control to protect your documents and maintain regulatory compliance.
How to fill out evaluators protocol - adopted

How to fill out evaluators protocol - adopted
01
Start by reading the guidelines or instructions provided for the specific evaluators protocol that you are filling out.
02
Understand the purpose and requirements of the protocol to ensure accurate and thorough completion.
03
Gather all the necessary information and documentation that will be needed to fill out the protocol.
04
Begin with providing your personal details such as name, contact information, and any other required identification.
05
Follow the given format or structure of the protocol and fill out each section or point in a clear and concise manner.
06
Include all relevant information, observations, and findings based on the evaluation criteria specified in the protocol.
07
Provide supporting evidence or references where necessary to support your evaluations or conclusions.
08
Ensure that your responses are objective, unbiased, and based on the guidelines or criteria mentioned in the protocol.
09
Double-check your filled-out protocol for any errors, omissions, or inconsistencies before finalizing it.
10
Submit the completed evaluators protocol as per the given instructions or deadline.
Who needs evaluators protocol - adopted?
01
Evaluators protocol - adopted is typically needed by organizations or institutions that carry out evaluations of various activities, projects, or individuals.
02
It is commonly used in fields such as education, research, healthcare, performance assessments, and quality assurance.
03
These protocols help in ensuring standardized evaluation processes and provide a structured format for collecting and documenting relevant information.
04
The evaluators, who are responsible for assessing and analyzing the subject of evaluation, utilize this protocol to maintain consistency and fairness in their evaluations.
05
The results or conclusions derived from the evaluators protocol - adopted are often used for decision-making, improvement, or accountability purposes.
Fill
form
: Try Risk Free
For pdfFiller’s FAQs
Below is a list of the most common customer questions. If you can’t find an answer to your question, please don’t hesitate to reach out to us.
How do I edit evaluators protocol - adopted online?
The editing procedure is simple with pdfFiller. Open your evaluators protocol - adopted in the editor. You may also add photos, draw arrows and lines, insert sticky notes and text boxes, and more.
How can I edit evaluators protocol - adopted on a smartphone?
You may do so effortlessly with pdfFiller's iOS and Android apps, which are available in the Apple Store and Google Play Store, respectively. You may also obtain the program from our website: https://edit-pdf-ios-android.pdffiller.com/. Open the application, sign in, and begin editing evaluators protocol - adopted right away.
How do I fill out evaluators protocol - adopted on an Android device?
Use the pdfFiller mobile app and complete your evaluators protocol - adopted and other documents on your Android device. The app provides you with all essential document management features, such as editing content, eSigning, annotating, sharing files, etc. You will have access to your documents at any time, as long as there is an internet connection.
What is evaluators protocol - adopted?
The evaluators protocol - adopted is a set of guidelines, procedures, and standards that evaluators must follow when conducting their assessments.
Who is required to file evaluators protocol - adopted?
All evaluators who are conducting assessments are required to file the evaluators protocol - adopted.
How to fill out evaluators protocol - adopted?
Evaluators must fill out the evaluators protocol - adopted by providing detailed information about their assessment methods, data collection procedures, and analysis techniques.
What is the purpose of evaluators protocol - adopted?
The purpose of the evaluators protocol - adopted is to ensure that assessments are conducted in a systematic, reliable, and valid manner.
What information must be reported on evaluators protocol - adopted?
Evaluators must report information such as the purpose of the assessment, the target population, the data collection methods, the analysis procedures, and any limitations of the assessment.
Fill out your evaluators protocol - adopted online with pdfFiller!
pdfFiller is an end-to-end solution for managing, creating, and editing documents and forms in the cloud. Save time and hassle by preparing your tax forms online.

Evaluators Protocol - Adopted is not the form you're looking for?Search for another form here.
Relevant keywords
Related Forms
If you believe that this page should be taken down, please follow our DMCA take down process
here
.
This form may include fields for payment information. Data entered in these fields is not covered by PCI DSS compliance.