
Get the free Secondary School Forms
Show details
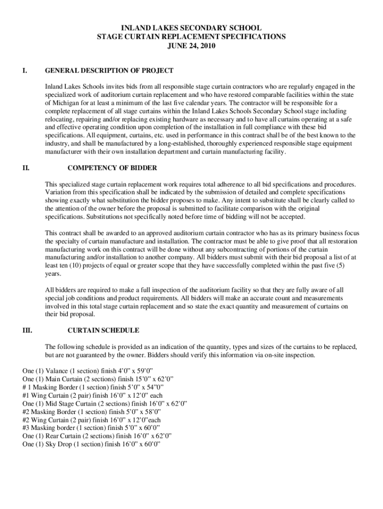
INLAND LAKES SECONDARY SCHOOL STAGE CURTAIN REPLACEMENT SPECIFICATIONS JUNE 24, 2010, I.GENERAL DESCRIPTION OF PROJECT Inland Lakes Schools invites bids from all responsible stage curtain contractors
We are not affiliated with any brand or entity on this form
Get, Create, Make and Sign secondary school forms

Edit your secondary school forms form online
Type text, complete fillable fields, insert images, highlight or blackout data for discretion, add comments, and more.

Add your legally-binding signature
Draw or type your signature, upload a signature image, or capture it with your digital camera.

Share your form instantly
Email, fax, or share your secondary school forms form via URL. You can also download, print, or export forms to your preferred cloud storage service.
How to edit secondary school forms online
In order to make advantage of the professional PDF editor, follow these steps below:
1
Set up an account. If you are a new user, click Start Free Trial and establish a profile.
2
Upload a file. Select Add New on your Dashboard and upload a file from your device or import it from the cloud, online, or internal mail. Then click Edit.
3
Edit secondary school forms. Add and replace text, insert new objects, rearrange pages, add watermarks and page numbers, and more. Click Done when you are finished editing and go to the Documents tab to merge, split, lock or unlock the file.
4
Save your file. Choose it from the list of records. Then, shift the pointer to the right toolbar and select one of the several exporting methods: save it in multiple formats, download it as a PDF, email it, or save it to the cloud.
pdfFiller makes working with documents easier than you could ever imagine. Create an account to find out for yourself how it works!
Uncompromising security for your PDF editing and eSignature needs
Your private information is safe with pdfFiller. We employ end-to-end encryption, secure cloud storage, and advanced access control to protect your documents and maintain regulatory compliance.
How to fill out secondary school forms

How to fill out secondary school forms
01
Begin by gathering all the necessary documents and information, such as your identification documents, academic transcripts, and personal details.
02
Carefully read the instructions provided with the secondary school forms to understand what information needs to be filled in each section.
03
Start with the basic information section, which typically includes your name, date of birth, contact details, and any other relevant personal information.
04
Move on to the academic information section, where you might need to provide details about your current school, academic performance, and any extracurricular activities you are involved in.
05
Fill in the section where you might be required to provide information about your family, such as your parents' occupation and contact details.
06
Double-check all the information you have provided to ensure accuracy and completeness.
07
Submit the filled-out secondary school forms along with any supporting documents required, such as recommendation letters or essays, by the given deadline.
08
Keep a copy of the filled-out forms and any other relevant documents for your reference and future use.
Who needs secondary school forms?
01
Secondary school forms are typically needed by students who are applying for admission to a secondary school or transferring to a different secondary school.
02
These forms are also required by educational institutions for enrollment purposes and to gather necessary information about the students.
03
Parents or guardians may also need to fill out certain sections of the secondary school forms in case of students who are minors.
Fill
form
: Try Risk Free
For pdfFiller’s FAQs
Below is a list of the most common customer questions. If you can’t find an answer to your question, please don’t hesitate to reach out to us.
How can I get secondary school forms?
It's simple using pdfFiller, an online document management tool. Use our huge online form collection (over 25M fillable forms) to quickly discover the secondary school forms. Open it immediately and start altering it with sophisticated capabilities.
Can I create an eSignature for the secondary school forms in Gmail?
You can easily create your eSignature with pdfFiller and then eSign your secondary school forms directly from your inbox with the help of pdfFiller’s add-on for Gmail. Please note that you must register for an account in order to save your signatures and signed documents.
How do I complete secondary school forms on an Android device?
On Android, use the pdfFiller mobile app to finish your secondary school forms. Adding, editing, deleting text, signing, annotating, and more are all available with the app. All you need is a smartphone and internet.
What is secondary school forms?
Secondary school forms are documents that provide information about a student's academic record, extracurricular activities, and personal background.
Who is required to file secondary school forms?
Parents or guardians of students applying to secondary schools are typically required to file secondary school forms on behalf of the student.
How to fill out secondary school forms?
To fill out secondary school forms, parents or guardians must provide accurate information about the student's academic achievements, extracurricular activities, personal background, and any other information requested by the school.
What is the purpose of secondary school forms?
The purpose of secondary school forms is to help secondary schools make informed decisions about which students to admit based on their academic record, extracurricular involvement, and personal background.
What information must be reported on secondary school forms?
The information reported on secondary school forms typically includes the student's academic transcripts, standardized test scores, extracurricular activities, personal statement, and letters of recommendation.
Fill out your secondary school forms online with pdfFiller!
pdfFiller is an end-to-end solution for managing, creating, and editing documents and forms in the cloud. Save time and hassle by preparing your tax forms online.

Secondary School Forms is not the form you're looking for?Search for another form here.
Relevant keywords
Related Forms
If you believe that this page should be taken down, please follow our DMCA take down process
here
.
This form may include fields for payment information. Data entered in these fields is not covered by PCI DSS compliance.