Get the free Alabama Votes Alabama Secretary of State
Show details
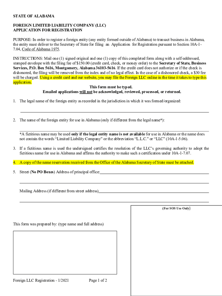
STATE OF ALABAMA FOREIGN LIMITED LIABILITY COMPANY (LLC) APPLICATION FOR REGISTRATION PURPOSE: In order to register a foreign entity (any entity formed outside of Alabama) to transact business in
We are not affiliated with any brand or entity on this form
Get, Create, Make and Sign alabama votes alabama secretary
Edit your alabama votes alabama secretary form online
Type text, complete fillable fields, insert images, highlight or blackout data for discretion, add comments, and more.
Add your legally-binding signature
Draw or type your signature, upload a signature image, or capture it with your digital camera.
Share your form instantly
Email, fax, or share your alabama votes alabama secretary form via URL. You can also download, print, or export forms to your preferred cloud storage service.
Editing alabama votes alabama secretary online
In order to make advantage of the professional PDF editor, follow these steps below:
1
Create an account. Begin by choosing Start Free Trial and, if you are a new user, establish a profile.
2
Prepare a file. Use the Add New button to start a new project. Then, using your device, upload your file to the system by importing it from internal mail, the cloud, or adding its URL.
3
Edit alabama votes alabama secretary. Rearrange and rotate pages, add and edit text, and use additional tools. To save changes and return to your Dashboard, click Done. The Documents tab allows you to merge, divide, lock, or unlock files.
4
Save your file. Select it from your list of records. Then, move your cursor to the right toolbar and choose one of the exporting options. You can save it in multiple formats, download it as a PDF, send it by email, or store it in the cloud, among other things.
It's easier to work with documents with pdfFiller than you could have ever thought. Sign up for a free account to view.
Uncompromising security for your PDF editing and eSignature needs
Your private information is safe with pdfFiller. We employ end-to-end encryption, secure cloud storage, and advanced access control to protect your documents and maintain regulatory compliance.
How to fill out alabama votes alabama secretary
How to fill out alabama votes alabama secretary
01
To fill out Alabama votes for Alabama Secretary, follow these steps:
02
Obtain a valid Alabama voter registration card.
03
Locate your assigned polling place or request an absentee ballot if applicable.
04
On the day of the election, visit your assigned polling place during the designated voting hours.
05
Present your Alabama voter registration card or acceptable identification to the poll workers.
06
Receive a ballot from the poll workers.
07
Read the instructions on the ballot carefully.
08
Use a pen or pencil to mark your choices on the ballot.
09
Fill in the circles completely next to your chosen candidates or options.
10
Double-check your selections to ensure accuracy.
11
Place the completed ballot in the designated ballot box or follow the instructions for absentee ballots if applicable.
12
Thank the poll workers and leave the polling place.
Who needs alabama votes alabama secretary?
01
Any eligible Alabama voter who wishes to exercise their right to vote for the Alabama Secretary needs Alabama votes. This includes registered voters who want to have a say in the election and shape the future of the state's government. It is important for every eligible voter to participate in the democratic process and make their voice heard by casting their vote.
Fill
form
: Try Risk Free
For pdfFiller’s FAQs
Below is a list of the most common customer questions. If you can’t find an answer to your question, please don’t hesitate to reach out to us.
How do I modify my alabama votes alabama secretary in Gmail?
It's easy to use pdfFiller's Gmail add-on to make and edit your alabama votes alabama secretary and any other documents you get right in your email. You can also eSign them. Take a look at the Google Workspace Marketplace and get pdfFiller for Gmail. Get rid of the time-consuming steps and easily manage your documents and eSignatures with the help of an app.
How do I edit alabama votes alabama secretary on an iOS device?
Create, modify, and share alabama votes alabama secretary using the pdfFiller iOS app. Easy to install from the Apple Store. You may sign up for a free trial and then purchase a membership.
How do I complete alabama votes alabama secretary on an Android device?
On an Android device, use the pdfFiller mobile app to finish your alabama votes alabama secretary. The program allows you to execute all necessary document management operations, such as adding, editing, and removing text, signing, annotating, and more. You only need a smartphone and an internet connection.
What is alabama votes alabama secretary?
Alabama Votes refers to the official electoral process and services managed by the Alabama Secretary of State, including voter registration and election information.
Who is required to file alabama votes alabama secretary?
Candidates running for office, political parties, and organizations involved in political activities in Alabama are required to file with the Alabama Secretary of State.
How to fill out alabama votes alabama secretary?
To fill out Alabama Votes forms, individuals should visit the Alabama Secretary of State's website, follow the prompts for voter registration or candidate filing, and provide the required information accurately.
What is the purpose of alabama votes alabama secretary?
The purpose of Alabama Votes is to ensure transparent electoral processes, maintain accurate voter registration records, and facilitate the administration of elections in Alabama.
What information must be reported on alabama votes alabama secretary?
Individuals must report personal identification information, residency address, voting history, and for candidates, details about the campaign and financial disclosures.
Fill out your alabama votes alabama secretary online with pdfFiller!
pdfFiller is an end-to-end solution for managing, creating, and editing documents and forms in the cloud. Save time and hassle by preparing your tax forms online.
Alabama Votes Alabama Secretary is not the form you're looking for?Search for another form here.
Relevant keywords
Related Forms
If you believe that this page should be taken down, please follow our DMCA take down process
here
.
This form may include fields for payment information. Data entered in these fields is not covered by PCI DSS compliance.