Get the free Indemnification and Hold Harmless Sample Clauses: 2k ...
Show details
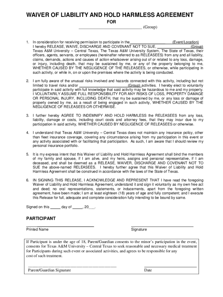
WAIVER OF LIABILITY AND HOLD HARMLESS AGREEMENT FOR (Group)1. In consideration for receiving permission to participate in the (Event/Location) I hereby RELEASE, WAIVE, DISCHARGE AND COVENANT NOT TO
We are not affiliated with any brand or entity on this form
Get, Create, Make and Sign indemnification and hold harmless
Edit your indemnification and hold harmless form online
Type text, complete fillable fields, insert images, highlight or blackout data for discretion, add comments, and more.
Add your legally-binding signature
Draw or type your signature, upload a signature image, or capture it with your digital camera.
Share your form instantly
Email, fax, or share your indemnification and hold harmless form via URL. You can also download, print, or export forms to your preferred cloud storage service.
How to edit indemnification and hold harmless online
Here are the steps you need to follow to get started with our professional PDF editor:
1
Log in to your account. Click Start Free Trial and register a profile if you don't have one.
2
Simply add a document. Select Add New from your Dashboard and import a file into the system by uploading it from your device or importing it via the cloud, online, or internal mail. Then click Begin editing.
3
Edit indemnification and hold harmless. Rearrange and rotate pages, add and edit text, and use additional tools. To save changes and return to your Dashboard, click Done. The Documents tab allows you to merge, divide, lock, or unlock files.
4
Get your file. When you find your file in the docs list, click on its name and choose how you want to save it. To get the PDF, you can save it, send an email with it, or move it to the cloud.
With pdfFiller, it's always easy to work with documents.
Uncompromising security for your PDF editing and eSignature needs
Your private information is safe with pdfFiller. We employ end-to-end encryption, secure cloud storage, and advanced access control to protect your documents and maintain regulatory compliance.
How to fill out indemnification and hold harmless
How to fill out indemnification and hold harmless
01
Start by reading the indemnification and hold harmless agreement carefully to understand its terms and conditions.
02
Identify the sections where you need to provide information or fill in the blanks. These may include your name, contact information, and any specific details related to the agreement.
03
Gather all the necessary documents and information that may be required to complete the agreement. This may include insurance policies, legal identifiers, and any relevant contracts or agreements.
04
Review the agreement again to ensure you have a clear understanding of what is required of you and any potential liabilities you may be assuming by signing the agreement.
05
Use black ink or type your responses to ensure clarity and legibility. Avoid using pencil or erasable ink that may be altered or erased.
06
Fill in each section accurately and truthfully. Do not leave any required fields blank or unanswered unless specifically instructed.
07
If you need assistance or have any questions, consult with a legal professional to ensure you fully understand the implications and consequences of signing the indemnification and hold harmless agreement.
08
Once you have completed filling out the agreement, review it again to make sure all information is accurate and complete.
09
Sign the agreement in the presence of a witness if required. Ensure that the witness also signs and provides their contact information.
10
Keep a copy of the signed and completed indemnification and hold harmless agreement for your records.
Who needs indemnification and hold harmless?
01
Indemnification and hold harmless agreements are commonly used in various situations, such as:
02
- Business contracts and agreements: Businesses often include indemnification and hold harmless clauses to protect themselves from potential legal disputes or liabilities arising from the contract.
03
- Construction and renovation projects: Contractors, subcontractors, and property owners may require indemnification and hold harmless agreements to transfer responsibilities and liabilities associated with the project.
04
- Events and activities: Organizers of events, sports activities, and recreational activities may ask participants to sign indemnification and hold harmless agreements to waive certain rights and release the organizers from any potential claims or damages.
05
- Service providers and clients: Professionals, such as consultants, accountants, and lawyers, may include indemnification and hold harmless clauses in their service contracts to limit their liability for any losses or damages that may occur.
06
- Landlords and tenants: Lease agreements may include indemnification and hold harmless provisions to specify the responsibilities of the landlord and the tenant in case of injuries, damages, or legal disputes.
07
Overall, anyone who wants to minimize their legal liability or transfer risks to another party may need an indemnification and hold harmless agreement.
Fill
form
: Try Risk Free
For pdfFiller’s FAQs
Below is a list of the most common customer questions. If you can’t find an answer to your question, please don’t hesitate to reach out to us.
How do I edit indemnification and hold harmless online?
pdfFiller not only allows you to edit the content of your files but fully rearrange them by changing the number and sequence of pages. Upload your indemnification and hold harmless to the editor and make any required adjustments in a couple of clicks. The editor enables you to blackout, type, and erase text in PDFs, add images, sticky notes and text boxes, and much more.
How do I edit indemnification and hold harmless straight from my smartphone?
Using pdfFiller's mobile-native applications for iOS and Android is the simplest method to edit documents on a mobile device. You may get them from the Apple App Store and Google Play, respectively. More information on the apps may be found here. Install the program and log in to begin editing indemnification and hold harmless.
How do I edit indemnification and hold harmless on an iOS device?
You can. Using the pdfFiller iOS app, you can edit, distribute, and sign indemnification and hold harmless. Install it in seconds at the Apple Store. The app is free, but you must register to buy a subscription or start a free trial.
What is indemnification and hold harmless?
Indemnification and hold harmless is a legal agreement where one party agrees to protect and compensate the other party from any losses or damages that may occur.
Who is required to file indemnification and hold harmless?
Indemnification and hold harmless agreements are typically required in business contracts, leases, and other legal documents.
How to fill out indemnification and hold harmless?
To fill out an indemnification and hold harmless agreement, the parties involved need to clearly define the terms of indemnification, the scope of protection, and any limitations or exclusions.
What is the purpose of indemnification and hold harmless?
The purpose of indemnification and hold harmless is to protect one party from any liability or losses that may arise from the actions or omissions of the other party.
What information must be reported on indemnification and hold harmless?
The indemnification and hold harmless agreement should include the names of the parties involved, the specific terms of indemnification, any limitations or exclusions, and the signatures of all parties.
Fill out your indemnification and hold harmless online with pdfFiller!
pdfFiller is an end-to-end solution for managing, creating, and editing documents and forms in the cloud. Save time and hassle by preparing your tax forms online.
Indemnification And Hold Harmless is not the form you're looking for?Search for another form here.
Relevant keywords
Related Forms
If you believe that this page should be taken down, please follow our DMCA take down process
here
.
This form may include fields for payment information. Data entered in these fields is not covered by PCI DSS compliance.