
Get the free FEDERAL UNIVERSAL SERVICE FUND ANNUAL CERTIFICATION FORM ...
Show details
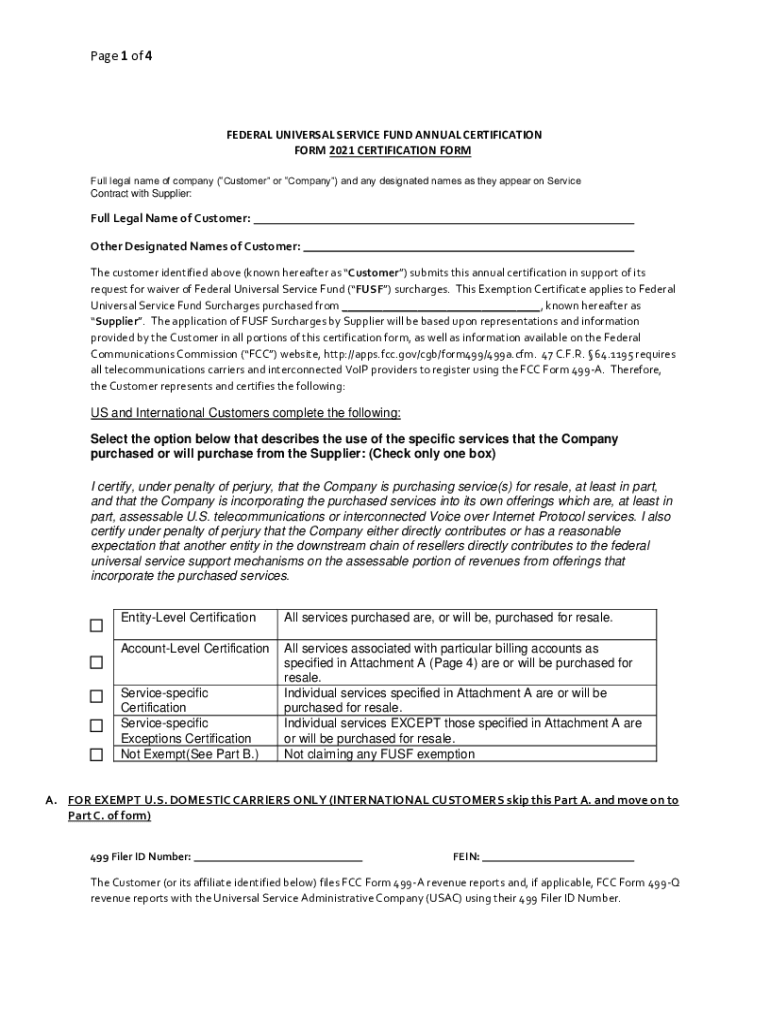
Page 1 of 4FEDERAL UNIVERSAL SERVICE FUND ANNUAL CERTIFICATION FORM 2021 CERTIFICATION FORM Full legal name of company (Customer or Company) and any designated names as they appear on Service Contract
We are not affiliated with any brand or entity on this form
Get, Create, Make and Sign federal universal service fund

Edit your federal universal service fund form online
Type text, complete fillable fields, insert images, highlight or blackout data for discretion, add comments, and more.

Add your legally-binding signature
Draw or type your signature, upload a signature image, or capture it with your digital camera.

Share your form instantly
Email, fax, or share your federal universal service fund form via URL. You can also download, print, or export forms to your preferred cloud storage service.
Editing federal universal service fund online
To use our professional PDF editor, follow these steps:
1
Log into your account. If you don't have a profile yet, click Start Free Trial and sign up for one.
2
Upload a file. Select Add New on your Dashboard and upload a file from your device or import it from the cloud, online, or internal mail. Then click Edit.
3
Edit federal universal service fund. Rearrange and rotate pages, insert new and alter existing texts, add new objects, and take advantage of other helpful tools. Click Done to apply changes and return to your Dashboard. Go to the Documents tab to access merging, splitting, locking, or unlocking functions.
4
Get your file. Select your file from the documents list and pick your export method. You may save it as a PDF, email it, or upload it to the cloud.
pdfFiller makes dealing with documents a breeze. Create an account to find out!
Uncompromising security for your PDF editing and eSignature needs
Your private information is safe with pdfFiller. We employ end-to-end encryption, secure cloud storage, and advanced access control to protect your documents and maintain regulatory compliance.
How to fill out federal universal service fund

How to fill out federal universal service fund
01
To fill out the federal universal service fund application, follow these steps:
02
Access the application form online or visit your nearest United States Federal Communications Commission (FCC) office to obtain a physical copy.
03
Provide your personal and business information, including your name, contact details, and employer identification number (EIN).
04
Specify the type of communication service you provide and the details of your service area.
05
Calculate and enter your contribution factor, which is determined based on your previous year's interstate and international end-user telecommunications revenues.
06
Attach supporting documents, such as financial statements and revenue reports, as stated in the instructions.
07
Review the completed form for accuracy and completeness.
08
Submit the application form and all required documentation to the FCC either online or by mail.
09
Pay any applicable filing fees, as instructed by the FCC.
10
Wait for the FCC to review your application and communicate any additional information or requirements.
11
Once approved, comply with the contribution obligations and reporting requirements outlined by the FCC.
12
It is important to consult the official instructions and guidelines provided by the FCC for detailed information while filling out the federal universal service fund application.
Who needs federal universal service fund?
01
The federal universal service fund is needed by telecommunication and communication service providers operating in the United States.
02
Additionally, eligible low-income consumers, schools and libraries, rural healthcare providers, and eligible telecommunications carriers (ETCs) benefit from the federal universal service fund.
03
The fund ensures affordable and quality communication services are available to these entities, bridging the digital divide and promoting equal accessibility across the country.
Fill
form
: Try Risk Free
For pdfFiller’s FAQs
Below is a list of the most common customer questions. If you can’t find an answer to your question, please don’t hesitate to reach out to us.
How can I manage my federal universal service fund directly from Gmail?
You may use pdfFiller's Gmail add-on to change, fill out, and eSign your federal universal service fund as well as other documents directly in your inbox by using the pdfFiller add-on for Gmail. pdfFiller for Gmail may be found on the Google Workspace Marketplace. Use the time you would have spent dealing with your papers and eSignatures for more vital tasks instead.
How can I get federal universal service fund?
It’s easy with pdfFiller, a comprehensive online solution for professional document management. Access our extensive library of online forms (over 25M fillable forms are available) and locate the federal universal service fund in a matter of seconds. Open it right away and start customizing it using advanced editing features.
Can I create an electronic signature for the federal universal service fund in Chrome?
Yes, you can. With pdfFiller, you not only get a feature-rich PDF editor and fillable form builder but a powerful e-signature solution that you can add directly to your Chrome browser. Using our extension, you can create your legally-binding eSignature by typing, drawing, or capturing a photo of your signature using your webcam. Choose whichever method you prefer and eSign your federal universal service fund in minutes.
What is federal universal service fund?
The federal universal service fund is a program established by the Federal Communications Commission (FCC) to help ensure access to telecommunications services for all Americans, including those in rural and high-cost areas, as well as low-income individuals.
Who is required to file federal universal service fund?
Telecommunications providers are required to contribute to the federal universal service fund, which is then used to support various programs that promote access to telecommunications services.
How to fill out federal universal service fund?
Telecommunications providers can fill out the federal universal service fund form online through the Universal Service Administrative Company (USAC) website.
What is the purpose of federal universal service fund?
The purpose of the federal universal service fund is to promote universal access to telecommunications services and ensure that all Americans have access to affordable and reliable communication services.
What information must be reported on federal universal service fund?
Telecommunications providers are required to report their revenue and pay a percentage of their interstate and international end-user telecommunications revenues to the federal universal service fund.
Fill out your federal universal service fund online with pdfFiller!
pdfFiller is an end-to-end solution for managing, creating, and editing documents and forms in the cloud. Save time and hassle by preparing your tax forms online.

Federal Universal Service Fund is not the form you're looking for?Search for another form here.
Relevant keywords
Related Forms
If you believe that this page should be taken down, please follow our DMCA take down process
here
.
This form may include fields for payment information. Data entered in these fields is not covered by PCI DSS compliance.