
Get the free School Safety and Resiliency Act - Kentucky Department of ...
Show details
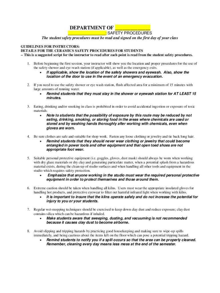
DEPARTMENT OF : SAFETY PROCEDURES The student safety procedures must be read and signed on the first day of your class GUIDELINES FOR INSTRUCTORS: DETAILS FOR THE CERAMICS SAFETY PROCEDURES FOR STUDENTS
We are not affiliated with any brand or entity on this form
Get, Create, Make and Sign school safety and resiliency

Edit your school safety and resiliency form online
Type text, complete fillable fields, insert images, highlight or blackout data for discretion, add comments, and more.

Add your legally-binding signature
Draw or type your signature, upload a signature image, or capture it with your digital camera.

Share your form instantly
Email, fax, or share your school safety and resiliency form via URL. You can also download, print, or export forms to your preferred cloud storage service.
How to edit school safety and resiliency online
Here are the steps you need to follow to get started with our professional PDF editor:
1
Set up an account. If you are a new user, click Start Free Trial and establish a profile.
2
Prepare a file. Use the Add New button to start a new project. Then, using your device, upload your file to the system by importing it from internal mail, the cloud, or adding its URL.
3
Edit school safety and resiliency. Add and change text, add new objects, move pages, add watermarks and page numbers, and more. Then click Done when you're done editing and go to the Documents tab to merge or split the file. If you want to lock or unlock the file, click the lock or unlock button.
4
Save your file. Choose it from the list of records. Then, shift the pointer to the right toolbar and select one of the several exporting methods: save it in multiple formats, download it as a PDF, email it, or save it to the cloud.
pdfFiller makes working with documents easier than you could ever imagine. Register for an account and see for yourself!
Uncompromising security for your PDF editing and eSignature needs
Your private information is safe with pdfFiller. We employ end-to-end encryption, secure cloud storage, and advanced access control to protect your documents and maintain regulatory compliance.
Fill
form
: Try Risk Free
For pdfFiller’s FAQs
Below is a list of the most common customer questions. If you can’t find an answer to your question, please don’t hesitate to reach out to us.
How can I manage my school safety and resiliency directly from Gmail?
In your inbox, you may use pdfFiller's add-on for Gmail to generate, modify, fill out, and eSign your school safety and resiliency and any other papers you receive, all without leaving the program. Install pdfFiller for Gmail from the Google Workspace Marketplace by visiting this link. Take away the need for time-consuming procedures and handle your papers and eSignatures with ease.
Can I sign the school safety and resiliency electronically in Chrome?
Yes. You can use pdfFiller to sign documents and use all of the features of the PDF editor in one place if you add this solution to Chrome. In order to use the extension, you can draw or write an electronic signature. You can also upload a picture of your handwritten signature. There is no need to worry about how long it takes to sign your school safety and resiliency.
How do I fill out school safety and resiliency using my mobile device?
You can easily create and fill out legal forms with the help of the pdfFiller mobile app. Complete and sign school safety and resiliency and other documents on your mobile device using the application. Visit pdfFiller’s webpage to learn more about the functionalities of the PDF editor.
What is school safety and resiliency?
School safety and resiliency refers to the measures and practices implemented to ensure the safety and well-being of students, staff, and visitors in educational settings.
Who is required to file school safety and resiliency?
School administrators and officials are typically responsible for filing school safety and resiliency reports.
How to fill out school safety and resiliency?
School safety and resiliency reports can be filled out online or through specific forms provided by the relevant education authorities.
What is the purpose of school safety and resiliency?
The purpose of school safety and resiliency is to proactively address and mitigate risks, threats, and emergencies to create a safe learning environment.
What information must be reported on school safety and resiliency?
Information such as emergency procedures, safety protocols, security measures, risk assessments, and incident reports may need to be reported on school safety and resiliency.
Fill out your school safety and resiliency online with pdfFiller!
pdfFiller is an end-to-end solution for managing, creating, and editing documents and forms in the cloud. Save time and hassle by preparing your tax forms online.

School Safety And Resiliency is not the form you're looking for?Search for another form here.
Relevant keywords
Related Forms
If you believe that this page should be taken down, please follow our DMCA take down process
here
.
This form may include fields for payment information. Data entered in these fields is not covered by PCI DSS compliance.