
Get the free Art Safety - Princeton University
Show details
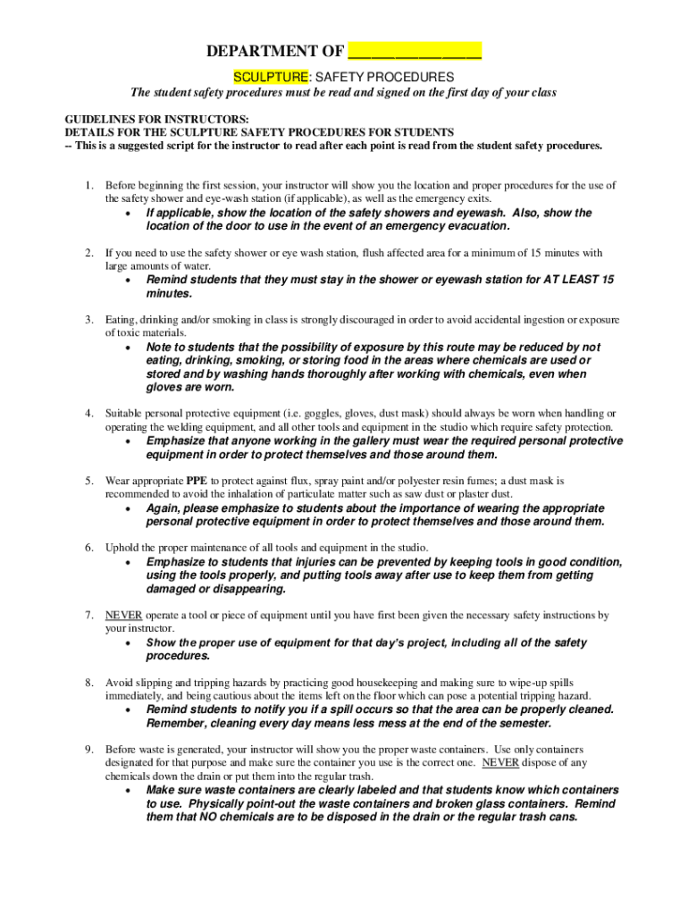
DEPARTMENT OF SCULPTURE: SAFETY PROCEDURES The student safety procedures must be read and signed on the first day of your class GUIDELINES FOR INSTRUCTORS: DETAILS FOR THE SCULPTURE SAFETY PROCEDURES
We are not affiliated with any brand or entity on this form
Get, Create, Make and Sign art safety - princeton

Edit your art safety - princeton form online
Type text, complete fillable fields, insert images, highlight or blackout data for discretion, add comments, and more.

Add your legally-binding signature
Draw or type your signature, upload a signature image, or capture it with your digital camera.

Share your form instantly
Email, fax, or share your art safety - princeton form via URL. You can also download, print, or export forms to your preferred cloud storage service.
How to edit art safety - princeton online
Follow the guidelines below to use a professional PDF editor:
1
Sign into your account. It's time to start your free trial.
2
Prepare a file. Use the Add New button. Then upload your file to the system from your device, importing it from internal mail, the cloud, or by adding its URL.
3
Edit art safety - princeton. Rearrange and rotate pages, insert new and alter existing texts, add new objects, and take advantage of other helpful tools. Click Done to apply changes and return to your Dashboard. Go to the Documents tab to access merging, splitting, locking, or unlocking functions.
4
Save your file. Select it from your records list. Then, click the right toolbar and select one of the various exporting options: save in numerous formats, download as PDF, email, or cloud.
pdfFiller makes working with documents easier than you could ever imagine. Register for an account and see for yourself!
Uncompromising security for your PDF editing and eSignature needs
Your private information is safe with pdfFiller. We employ end-to-end encryption, secure cloud storage, and advanced access control to protect your documents and maintain regulatory compliance.
How to fill out art safety - princeton

How to fill out art safety - princeton
01
To fill out art safety at Princeton, follow these steps:
02
Obtain the art safety form from the Princeton art department or website.
03
Read and understand the instructions and guidelines provided.
04
Fill in your personal information such as name, contact details, and student ID if applicable.
05
Provide details about the artwork you are planning to create or use for your project.
06
Indicate the materials, tools, and techniques you will be using and any potential hazards associated with them.
07
Describe any safety precautions you will take to mitigate risks and ensure a safe environment.
08
If necessary, include information on the location or exhibition where the artwork will be displayed.
09
Review the completed form for accuracy and completeness.
10
Submit the art safety form to the designated authority or department for review and approval.
11
Follow any additional instructions or requirements provided by the art department.
Who needs art safety - princeton?
01
Art safety at Princeton is necessary for anyone involved in creating, exhibiting, or using artworks within the university premises.
02
This includes students, faculty members, visiting artists, researchers, and anyone else engaging in art-related activities.
03
Ensuring art safety helps protect individuals from potential hazards associated with art materials, techniques, and processes.
04
It also promotes a safe and healthy environment for everyone involved in the art community at Princeton.
Fill
form
: Try Risk Free
For pdfFiller’s FAQs
Below is a list of the most common customer questions. If you can’t find an answer to your question, please don’t hesitate to reach out to us.
How do I make changes in art safety - princeton?
pdfFiller not only lets you change the content of your files, but you can also change the number and order of pages. Upload your art safety - princeton to the editor and make any changes in a few clicks. The editor lets you black out, type, and erase text in PDFs. You can also add images, sticky notes, and text boxes, as well as many other things.
Can I create an electronic signature for the art safety - princeton in Chrome?
You can. With pdfFiller, you get a strong e-signature solution built right into your Chrome browser. Using our addon, you may produce a legally enforceable eSignature by typing, sketching, or photographing it. Choose your preferred method and eSign in minutes.
How can I fill out art safety - princeton on an iOS device?
Install the pdfFiller app on your iOS device to fill out papers. Create an account or log in if you already have one. After registering, upload your art safety - princeton. You may now use pdfFiller's advanced features like adding fillable fields and eSigning documents from any device, anywhere.
What is art safety - princeton?
Art Safety - Princeton is a set of guidelines and protocols aimed at ensuring the safety of artwork and art-related activities within the Princeton University community.
Who is required to file art safety - princeton?
Anyone conducting art-related activities or handling artwork within the Princeton University community is required to adhere to the guidelines of Art Safety - Princeton.
How to fill out art safety - princeton?
To fill out Art Safety - Princeton, individuals must review the guidelines and protocols provided, assess the safety risks associated with their artwork or activities, and implement any necessary safety measures.
What is the purpose of art safety - princeton?
The purpose of Art Safety - Princeton is to promote the safe handling and display of artwork, protect individuals from potential hazards, and ensure compliance with safety regulations.
What information must be reported on art safety - princeton?
On Art Safety - Princeton, individuals must report details about the artwork or art-related activities being conducted, assess any safety risks involved, and document the safety measures implemented.
Fill out your art safety - princeton online with pdfFiller!
pdfFiller is an end-to-end solution for managing, creating, and editing documents and forms in the cloud. Save time and hassle by preparing your tax forms online.

Art Safety - Princeton is not the form you're looking for?Search for another form here.
Relevant keywords
Related Forms
If you believe that this page should be taken down, please follow our DMCA take down process
here
.
This form may include fields for payment information. Data entered in these fields is not covered by PCI DSS compliance.