Get the free Online Master of Science (MS) in Information Systems ... - intranet laroche
Show details
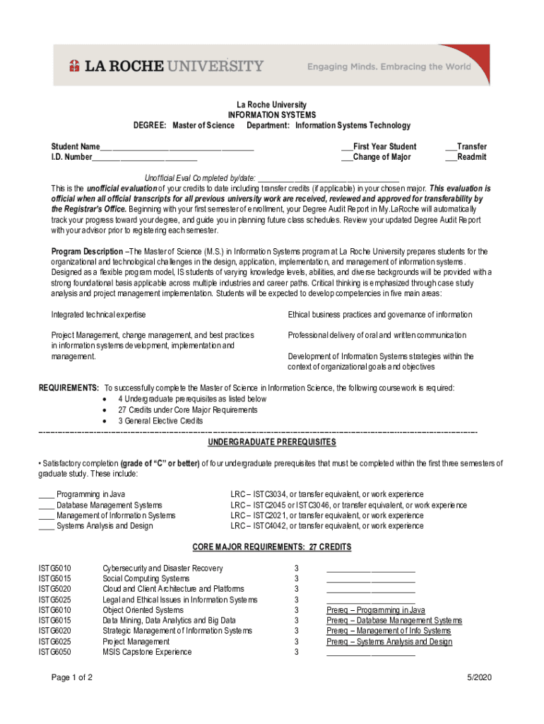
La Roche University INFORMATION SYSTEMS DEGREE: Master of Science Department: Information Systems Technology Student Name I.D. Number First Year Student Change of Major Transfer ReadmitUnofficial
We are not affiliated with any brand or entity on this form
Get, Create, Make and Sign online master of science
Edit your online master of science form online
Type text, complete fillable fields, insert images, highlight or blackout data for discretion, add comments, and more.
Add your legally-binding signature
Draw or type your signature, upload a signature image, or capture it with your digital camera.
Share your form instantly
Email, fax, or share your online master of science form via URL. You can also download, print, or export forms to your preferred cloud storage service.
How to edit online master of science online
In order to make advantage of the professional PDF editor, follow these steps:
1
Log in to account. Start Free Trial and register a profile if you don't have one yet.
2
Upload a file. Select Add New on your Dashboard and upload a file from your device or import it from the cloud, online, or internal mail. Then click Edit.
3
Edit online master of science. Replace text, adding objects, rearranging pages, and more. Then select the Documents tab to combine, divide, lock or unlock the file.
4
Get your file. When you find your file in the docs list, click on its name and choose how you want to save it. To get the PDF, you can save it, send an email with it, or move it to the cloud.
With pdfFiller, it's always easy to work with documents.
Uncompromising security for your PDF editing and eSignature needs
Your private information is safe with pdfFiller. We employ end-to-end encryption, secure cloud storage, and advanced access control to protect your documents and maintain regulatory compliance.
How to fill out online master of science
How to fill out online master of science
01
To fill out an online master of science application, follow these steps:
02
Start by accessing the website or online platform where the application is available.
03
Create an account or log in if you already have one.
04
Locate the online master of science application form.
05
Fill in your personal information, such as your name, contact details, and demographic information.
06
Provide information about your educational background, including your previous degrees, institutions attended, and grades obtained.
07
Enter details about your professional experience, including any relevant work history or internships.
08
Write a statement of purpose explaining your reasons for pursuing an online master of science and your career goals.
09
Attach any required documents, such as transcripts, letters of recommendation, or a resume.
10
Review your application to ensure all information is accurate and complete.
11
Submit your application online and await confirmation of receipt.
Who needs online master of science?
01
The online master of science is suitable for individuals who:
02
- Prefer the flexibility and convenience of an online program over a traditional in-person one.
03
- Have work or personal commitments that make it difficult to attend on-campus classes.
04
- Want to enhance their knowledge and skills in a specific field of study.
05
- Seek career advancement or higher earning potential in their current profession.
06
- Are self-motivated and can manage their time effectively to complete coursework online.
07
- Are interested in studying at their own pace while still receiving a recognized degree.
Fill
form
: Try Risk Free
For pdfFiller’s FAQs
Below is a list of the most common customer questions. If you can’t find an answer to your question, please don’t hesitate to reach out to us.
How do I execute online master of science online?
Filling out and eSigning online master of science is now simple. The solution allows you to change and reorganize PDF text, add fillable fields, and eSign the document. Start a free trial of pdfFiller, the best document editing solution.
How do I make changes in online master of science?
pdfFiller not only allows you to edit the content of your files but fully rearrange them by changing the number and sequence of pages. Upload your online master of science to the editor and make any required adjustments in a couple of clicks. The editor enables you to blackout, type, and erase text in PDFs, add images, sticky notes and text boxes, and much more.
How do I edit online master of science straight from my smartphone?
You can easily do so with pdfFiller's apps for iOS and Android devices, which can be found at the Apple Store and the Google Play Store, respectively. You can use them to fill out PDFs. We have a website where you can get the app, but you can also get it there. When you install the app, log in, and start editing online master of science, you can start right away.
What is online master of science?
Online Master of Science is a graduate degree program that can be completed online, typically focusing on a specific area of study.
Who is required to file online master of science?
Individuals who wish to pursue a Master of Science degree online are required to apply for admission to the program.
How to fill out online master of science?
To fill out an online Master of Science program application, individuals typically need to provide personal information, academic transcripts, letters of recommendation, and a statement of purpose.
What is the purpose of online master of science?
The purpose of an online Master of Science program is to provide individuals with advanced knowledge and skills in a specific field of study.
What information must be reported on online master of science?
Information such as academic background, work experience, career goals, and reasons for pursuing a Master of Science degree may need to be reported on the application for an online program.
Fill out your online master of science online with pdfFiller!
pdfFiller is an end-to-end solution for managing, creating, and editing documents and forms in the cloud. Save time and hassle by preparing your tax forms online.
Online Master Of Science is not the form you're looking for?Search for another form here.
Relevant keywords
Related Forms
If you believe that this page should be taken down, please follow our DMCA take down process
here
.
This form may include fields for payment information. Data entered in these fields is not covered by PCI DSS compliance.