
Get the free Sample Informed Consent Format - University of Colorado ...
Show details
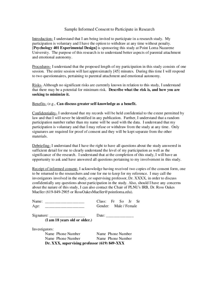
Sample Informed Consent to Participate in Research Introduction I understand that I am being invited to participate in a research study. My participation is voluntary, and I have the option to withdraw
We are not affiliated with any brand or entity on this form
Get, Create, Make and Sign sample informed consent format

Edit your sample informed consent format form online
Type text, complete fillable fields, insert images, highlight or blackout data for discretion, add comments, and more.

Add your legally-binding signature
Draw or type your signature, upload a signature image, or capture it with your digital camera.

Share your form instantly
Email, fax, or share your sample informed consent format form via URL. You can also download, print, or export forms to your preferred cloud storage service.
Editing sample informed consent format online
To use our professional PDF editor, follow these steps:
1
Log in to your account. Start Free Trial and register a profile if you don't have one.
2
Prepare a file. Use the Add New button. Then upload your file to the system from your device, importing it from internal mail, the cloud, or by adding its URL.
3
Edit sample informed consent format. Add and change text, add new objects, move pages, add watermarks and page numbers, and more. Then click Done when you're done editing and go to the Documents tab to merge or split the file. If you want to lock or unlock the file, click the lock or unlock button.
4
Save your file. Select it from your list of records. Then, move your cursor to the right toolbar and choose one of the exporting options. You can save it in multiple formats, download it as a PDF, send it by email, or store it in the cloud, among other things.
With pdfFiller, it's always easy to deal with documents. Try it right now
Uncompromising security for your PDF editing and eSignature needs
Your private information is safe with pdfFiller. We employ end-to-end encryption, secure cloud storage, and advanced access control to protect your documents and maintain regulatory compliance.
How to fill out sample informed consent format

How to fill out sample informed consent format
01
To fill out a sample informed consent format, follow these steps:
02
Begin by reading and understanding the entire document. Make sure you are familiar with the purpose and requirements of the informed consent.
03
Provide the necessary information about the research study or medical procedure for which the consent is being obtained. Include details such as the title of the study, purpose, procedures, risks, benefits, and alternatives.
04
Clearly specify the participant's rights and responsibilities. This may include their right to withdraw from the study at any time, any compensation or benefits they may receive, and privacy protection measures.
05
Include a section for participant signature and date. Ensure that the participant has enough space to provide their signature.
06
If applicable, include spaces for the signatures of witnesses or legally authorized representatives.
07
Review the completed form for accuracy and completeness. Make sure that all relevant information is included and formatted correctly.
08
Keep a copy of the signed and completed form for your records, and provide a signed copy to the participant for their reference.
Who needs sample informed consent format?
01
A sample informed consent format is needed by researchers, healthcare professionals, and anyone involved in conducting research studies or performing medical procedures that require obtaining informed consent from participants or patients.
Fill
form
: Try Risk Free
For pdfFiller’s FAQs
Below is a list of the most common customer questions. If you can’t find an answer to your question, please don’t hesitate to reach out to us.
How can I manage my sample informed consent format directly from Gmail?
pdfFiller’s add-on for Gmail enables you to create, edit, fill out and eSign your sample informed consent format and any other documents you receive right in your inbox. Visit Google Workspace Marketplace and install pdfFiller for Gmail. Get rid of time-consuming steps and manage your documents and eSignatures effortlessly.
How do I make changes in sample informed consent format?
The editing procedure is simple with pdfFiller. Open your sample informed consent format in the editor, which is quite user-friendly. You may use it to blackout, redact, write, and erase text, add photos, draw arrows and lines, set sticky notes and text boxes, and much more.
How do I fill out sample informed consent format on an Android device?
On an Android device, use the pdfFiller mobile app to finish your sample informed consent format. The program allows you to execute all necessary document management operations, such as adding, editing, and removing text, signing, annotating, and more. You only need a smartphone and an internet connection.
What is sample informed consent format?
The sample informed consent format is a standardized document that outlines the details of a research study and explains the risks and benefits to participants.
Who is required to file sample informed consent format?
Researchers conducting a study involving human subjects are required to file a sample informed consent format.
How to fill out sample informed consent format?
The sample informed consent format should be filled out by including all necessary information about the study, risks, benefits, and participant rights.
What is the purpose of sample informed consent format?
The purpose of the sample informed consent format is to ensure that participants are fully informed about the study and are able to make an informed decision about participating.
What information must be reported on sample informed consent format?
The sample informed consent format must include details about the study, risks, benefits, participant rights, confidentiality, and contact information for questions or concerns.
Fill out your sample informed consent format online with pdfFiller!
pdfFiller is an end-to-end solution for managing, creating, and editing documents and forms in the cloud. Save time and hassle by preparing your tax forms online.

Sample Informed Consent Format is not the form you're looking for?Search for another form here.
Relevant keywords
Related Forms
If you believe that this page should be taken down, please follow our DMCA take down process
here
.
This form may include fields for payment information. Data entered in these fields is not covered by PCI DSS compliance.