Get the free Non-Public School Transportation Agreement Doc Template ...
Show details
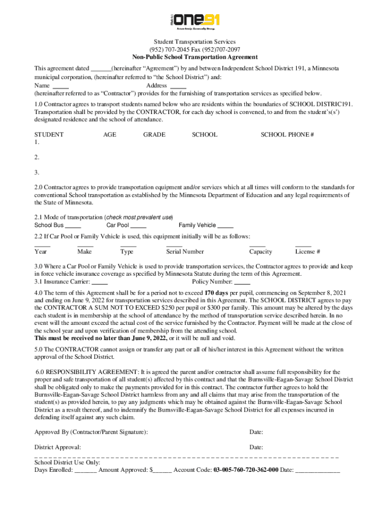
Student Transportation Services (952) 7072045 Fax (952)7072097 Nonpublic School Transportation Agreement This agreement dated (hereinafter Agreement) by and between Independent School District 191,
We are not affiliated with any brand or entity on this form
Get, Create, Make and Sign non-public school transportation agreement
Edit your non-public school transportation agreement form online
Type text, complete fillable fields, insert images, highlight or blackout data for discretion, add comments, and more.
Add your legally-binding signature
Draw or type your signature, upload a signature image, or capture it with your digital camera.
Share your form instantly
Email, fax, or share your non-public school transportation agreement form via URL. You can also download, print, or export forms to your preferred cloud storage service.
How to edit non-public school transportation agreement online
To use our professional PDF editor, follow these steps:
1
Log in. Click Start Free Trial and create a profile if necessary.
2
Prepare a file. Use the Add New button to start a new project. Then, using your device, upload your file to the system by importing it from internal mail, the cloud, or adding its URL.
3
Edit non-public school transportation agreement. Rearrange and rotate pages, add and edit text, and use additional tools. To save changes and return to your Dashboard, click Done. The Documents tab allows you to merge, divide, lock, or unlock files.
4
Save your file. Select it from your list of records. Then, move your cursor to the right toolbar and choose one of the exporting options. You can save it in multiple formats, download it as a PDF, send it by email, or store it in the cloud, among other things.
pdfFiller makes working with documents easier than you could ever imagine. Register for an account and see for yourself!
Uncompromising security for your PDF editing and eSignature needs
Your private information is safe with pdfFiller. We employ end-to-end encryption, secure cloud storage, and advanced access control to protect your documents and maintain regulatory compliance.
How to fill out non-public school transportation agreement
How to fill out non-public school transportation agreement
01
Obtain a non-public school transportation agreement form from the respective school or school district.
02
Read the instructions and terms carefully before filling out the form.
03
Provide personal information such as the name of the student, their grade level, and contact details.
04
Fill in the pick-up and drop-off locations clearly, including specific addresses.
05
Specify the preferred method of transportation, such as bus, van, or carpool.
06
Indicate any special needs or accommodations required for the student during transportation.
07
Date and sign the agreement, acknowledging that you understand and agree to the terms and conditions.
08
Submit the completed form to the designated school authority or transportation department.
09
Keep a copy of the agreement for your records.
10
If any changes or updates arise throughout the school year, notify the school or transportation department promptly.
Who needs non-public school transportation agreement?
01
Parents or legal guardians of students who attend non-public schools and require transportation services from the school or school district.
Fill
form
: Try Risk Free
For pdfFiller’s FAQs
Below is a list of the most common customer questions. If you can’t find an answer to your question, please don’t hesitate to reach out to us.
How can I manage my non-public school transportation agreement directly from Gmail?
You can use pdfFiller’s add-on for Gmail in order to modify, fill out, and eSign your non-public school transportation agreement along with other documents right in your inbox. Find pdfFiller for Gmail in Google Workspace Marketplace. Use time you spend on handling your documents and eSignatures for more important things.
Can I create an eSignature for the non-public school transportation agreement in Gmail?
With pdfFiller's add-on, you may upload, type, or draw a signature in Gmail. You can eSign your non-public school transportation agreement and other papers directly in your mailbox with pdfFiller. To preserve signed papers and your personal signatures, create an account.
How do I complete non-public school transportation agreement on an Android device?
Use the pdfFiller mobile app to complete your non-public school transportation agreement on an Android device. The application makes it possible to perform all needed document management manipulations, like adding, editing, and removing text, signing, annotating, and more. All you need is your smartphone and an internet connection.
What is non-public school transportation agreement?
A non-public school transportation agreement is a formal document that outlines the transportation services provided for students attending non-public schools, ensuring that transportation is organized and funded appropriately.
Who is required to file non-public school transportation agreement?
The school district or educational authority is typically required to file a non-public school transportation agreement to ensure compliance with local regulations and policies regarding student transportation.
How to fill out non-public school transportation agreement?
To fill out a non-public school transportation agreement, you will need to provide details such as the names of the students, schools attended, transportation routes, schedules, and any special requirements. It may also require signatures from relevant authorities.
What is the purpose of non-public school transportation agreement?
The purpose of a non-public school transportation agreement is to establish clear responsibilities and financial arrangements for transporting students to and from non-public educational institutions, ensuring their safety and access to education.
What information must be reported on non-public school transportation agreement?
Information that must be reported typically includes the names of the students, addresses, school locations, transportation details, requested services, and any necessary approvals or acknowledgments from parents or guardians.
Fill out your non-public school transportation agreement online with pdfFiller!
pdfFiller is an end-to-end solution for managing, creating, and editing documents and forms in the cloud. Save time and hassle by preparing your tax forms online.
Non-Public School Transportation Agreement is not the form you're looking for?Search for another form here.
Relevant keywords
Related Forms
If you believe that this page should be taken down, please follow our DMCA take down process
here
.
This form may include fields for payment information. Data entered in these fields is not covered by PCI DSS compliance.