
Get the free School Residency Law - IllinoisWhitted Takiff Law
Show details
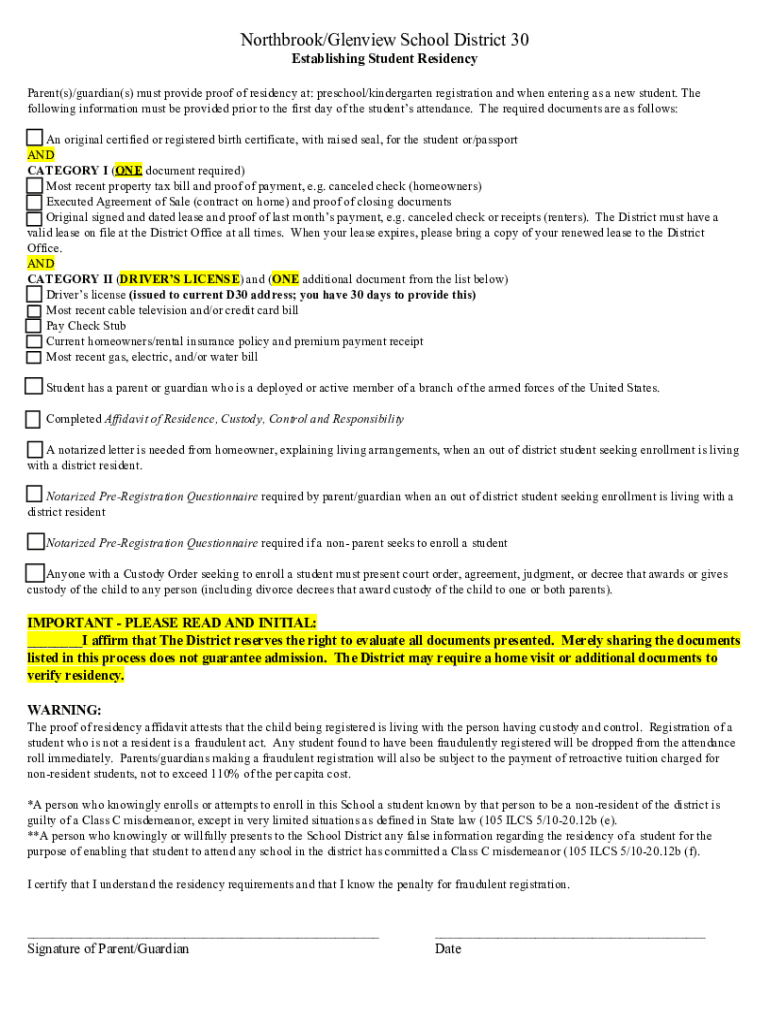
Northbrook/Glenview School District 30 Establishing Student Residencies Parent(s)/guardian(s) must provide proof of residency at: preschool/kindergarten registration and when entering as a new student.
We are not affiliated with any brand or entity on this form
Get, Create, Make and Sign school residency law

Edit your school residency law form online
Type text, complete fillable fields, insert images, highlight or blackout data for discretion, add comments, and more.

Add your legally-binding signature
Draw or type your signature, upload a signature image, or capture it with your digital camera.

Share your form instantly
Email, fax, or share your school residency law form via URL. You can also download, print, or export forms to your preferred cloud storage service.
Editing school residency law online
In order to make advantage of the professional PDF editor, follow these steps below:
1
Set up an account. If you are a new user, click Start Free Trial and establish a profile.
2
Prepare a file. Use the Add New button. Then upload your file to the system from your device, importing it from internal mail, the cloud, or by adding its URL.
3
Edit school residency law. Add and replace text, insert new objects, rearrange pages, add watermarks and page numbers, and more. Click Done when you are finished editing and go to the Documents tab to merge, split, lock or unlock the file.
4
Get your file. Select your file from the documents list and pick your export method. You may save it as a PDF, email it, or upload it to the cloud.
With pdfFiller, it's always easy to deal with documents. Try it right now
Uncompromising security for your PDF editing and eSignature needs
Your private information is safe with pdfFiller. We employ end-to-end encryption, secure cloud storage, and advanced access control to protect your documents and maintain regulatory compliance.
How to fill out school residency law

How to fill out school residency law
01
Step 1: Gather all the required documents such as proof of address, student's birth certificate, parent or guardian's identification, etc.
02
Step 2: Visit the school district's office or website to obtain the necessary forms for filling out the school residency law.
03
Step 3: Carefully read and understand the instructions provided with the forms.
04
Step 4: Fill out the forms accurately and provide all the required information.
05
Step 5: Attach all the supporting documents with the filled-out forms.
06
Step 6: Submit the completed forms and supporting documents to the school district's office or follow the designated submission procedure.
07
Step 7: Wait for the school district to verify the residency information provided.
08
Step 8: If any additional information or verification is needed, comply with the requests from the school district.
09
Step 9: Once the residency is confirmed, the student will be eligible to attend school within the district.
Who needs school residency law?
01
School residency law is needed by individuals or parents/guardians who want their child to attend a public school within a specific school district.
02
It is also required for students who have recently moved to a new address within the same school district.
03
Additionally, individuals who are seeking to establish legal residency within a specific school district may need to fill out the school residency law.
Fill
form
: Try Risk Free
For pdfFiller’s FAQs
Below is a list of the most common customer questions. If you can’t find an answer to your question, please don’t hesitate to reach out to us.
How do I fill out school residency law using my mobile device?
You can easily create and fill out legal forms with the help of the pdfFiller mobile app. Complete and sign school residency law and other documents on your mobile device using the application. Visit pdfFiller’s webpage to learn more about the functionalities of the PDF editor.
How do I edit school residency law on an iOS device?
Use the pdfFiller app for iOS to make, edit, and share school residency law from your phone. Apple's store will have it up and running in no time. It's possible to get a free trial and choose a subscription plan that fits your needs.
How do I complete school residency law on an Android device?
Use the pdfFiller app for Android to finish your school residency law. The application lets you do all the things you need to do with documents, like add, edit, and remove text, sign, annotate, and more. There is nothing else you need except your smartphone and an internet connection to do this.
What is school residency law?
School residency law determines the eligibility of students to attend public schools based on their residency status within a certain school district.
Who is required to file school residency law?
Parents or legal guardians of students are required to file school residency law to verify the residency status of the student.
How to fill out school residency law?
To fill out school residency law, parents or legal guardians need to provide proof of residency such as utility bills or lease agreements.
What is the purpose of school residency law?
The purpose of school residency law is to ensure that only students who live within a certain school district are eligible to attend public schools in that district.
What information must be reported on school residency law?
On school residency law, parents must report their current address and provide documentation to prove their residency status.
Fill out your school residency law online with pdfFiller!
pdfFiller is an end-to-end solution for managing, creating, and editing documents and forms in the cloud. Save time and hassle by preparing your tax forms online.

School Residency Law is not the form you're looking for?Search for another form here.
Relevant keywords
Related Forms
If you believe that this page should be taken down, please follow our DMCA take down process
here
.
This form may include fields for payment information. Data entered in these fields is not covered by PCI DSS compliance.