Get the free bulverdetx.govDocumentCenterViewCall to Order , Quorum, Pledges of Allegiance Approv...
Show details
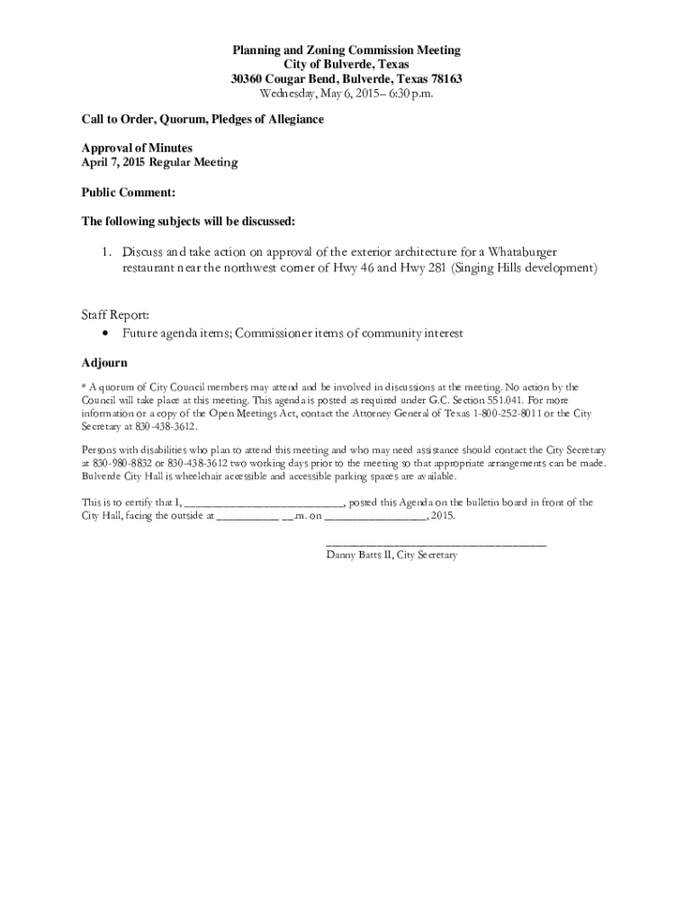
Planning and Zoning Commission Meeting City of Valverde, Texas 30360 Cougar Bend, Valverde, Texas 78163 Wednesday, May 6, 2015 6:30 p.m. Call to Order, Quorum, Pledges of Allegiance Approval of Minutes
We are not affiliated with any brand or entity on this form
Get, Create, Make and Sign bulverdetxgovdocumentcenterviewcall to order quorum
Edit your bulverdetxgovdocumentcenterviewcall to order quorum form online
Type text, complete fillable fields, insert images, highlight or blackout data for discretion, add comments, and more.
Add your legally-binding signature
Draw or type your signature, upload a signature image, or capture it with your digital camera.
Share your form instantly
Email, fax, or share your bulverdetxgovdocumentcenterviewcall to order quorum form via URL. You can also download, print, or export forms to your preferred cloud storage service.
Editing bulverdetxgovdocumentcenterviewcall to order quorum online
Here are the steps you need to follow to get started with our professional PDF editor:
1
Set up an account. If you are a new user, click Start Free Trial and establish a profile.
2
Simply add a document. Select Add New from your Dashboard and import a file into the system by uploading it from your device or importing it via the cloud, online, or internal mail. Then click Begin editing.
3
Edit bulverdetxgovdocumentcenterviewcall to order quorum. Replace text, adding objects, rearranging pages, and more. Then select the Documents tab to combine, divide, lock or unlock the file.
4
Save your file. Select it from your records list. Then, click the right toolbar and select one of the various exporting options: save in numerous formats, download as PDF, email, or cloud.
pdfFiller makes working with documents easier than you could ever imagine. Try it for yourself by creating an account!
Uncompromising security for your PDF editing and eSignature needs
Your private information is safe with pdfFiller. We employ end-to-end encryption, secure cloud storage, and advanced access control to protect your documents and maintain regulatory compliance.
How to fill out bulverdetxgovdocumentcenterviewcall to order quorum
How to fill out bulverdetxgovdocumentcenterviewcall to order quorum
01
Start by opening the bulverdetxgovdocumentcenterviewcall to order quorum document.
02
Read the document carefully to understand its purpose and requirements.
03
Look for the section or sections related to filling out the quorum information.
04
Enter the date and time of the meeting in the designated field.
05
Include the names of the individuals who are expected to be present or required for a quorum.
06
Provide any additional information or instructions as specified in the document.
07
Double-check your entries for accuracy and completeness.
08
Save the document once you have filled out the quorum information.
09
If required, print a copy of the document for submission or distribution as per the document's instructions.
Who needs bulverdetxgovdocumentcenterviewcall to order quorum?
01
Anyone who is responsible for organizing or conducting a meeting where achieving a quorum is necessary needs the bulverdetxgovdocumentcenterviewcall to order quorum document. This includes organizations, associations, committees, boards, and any other group or entity that follows a specific set of rules or bylaws that require a quorum for decision-making purposes.
Fill
form
: Try Risk Free
For pdfFiller’s FAQs
Below is a list of the most common customer questions. If you can’t find an answer to your question, please don’t hesitate to reach out to us.
How do I modify my bulverdetxgovdocumentcenterviewcall to order quorum in Gmail?
The pdfFiller Gmail add-on lets you create, modify, fill out, and sign bulverdetxgovdocumentcenterviewcall to order quorum and other documents directly in your email. Click here to get pdfFiller for Gmail. Eliminate tedious procedures and handle papers and eSignatures easily.
How do I edit bulverdetxgovdocumentcenterviewcall to order quorum online?
With pdfFiller, you may not only alter the content but also rearrange the pages. Upload your bulverdetxgovdocumentcenterviewcall to order quorum and modify it with a few clicks. The editor lets you add photos, sticky notes, text boxes, and more to PDFs.
How do I edit bulverdetxgovdocumentcenterviewcall to order quorum on an iOS device?
Create, modify, and share bulverdetxgovdocumentcenterviewcall to order quorum using the pdfFiller iOS app. Easy to install from the Apple Store. You may sign up for a free trial and then purchase a membership.
What is bulverdetxgovdocumentcenterviewcall to order quorum?
The bulverdetxgovdocumentcenterviewcall to order quorum is a procedural requirement that specifies the minimum number of members that must be present in order to conduct official business during a meeting.
Who is required to file bulverdetxgovdocumentcenterviewcall to order quorum?
Members of the governing body or board who are responsible for adhering to procedural rules and regulations are required to file the bulverdetxgovdocumentcenterviewcall to order quorum.
How to fill out bulverdetxgovdocumentcenterviewcall to order quorum?
To fill out the bulverdetxgovdocumentcenterviewcall to order quorum, individuals must follow specific guidelines provided by the local government, typically including details such as the date, time, and names of members present.
What is the purpose of bulverdetxgovdocumentcenterviewcall to order quorum?
The purpose of the bulverdetxgovdocumentcenterviewcall to order quorum is to ensure that decisions made during meetings are valid and represent a majority of the governing body.
What information must be reported on bulverdetxgovdocumentcenterviewcall to order quorum?
The information that must be reported includes the names of members present, the date and time of the meeting, and confirmation that the quorum requirement has been met.
Fill out your bulverdetxgovdocumentcenterviewcall to order quorum online with pdfFiller!
pdfFiller is an end-to-end solution for managing, creating, and editing documents and forms in the cloud. Save time and hassle by preparing your tax forms online.
Bulverdetxgovdocumentcenterviewcall To Order Quorum is not the form you're looking for?Search for another form here.
Relevant keywords
Related Forms
If you believe that this page should be taken down, please follow our DMCA take down process
here
.
This form may include fields for payment information. Data entered in these fields is not covered by PCI DSS compliance.