Get the free 1/13/2016 General Vehicles Auction Lot Description Bidder ...
Show details
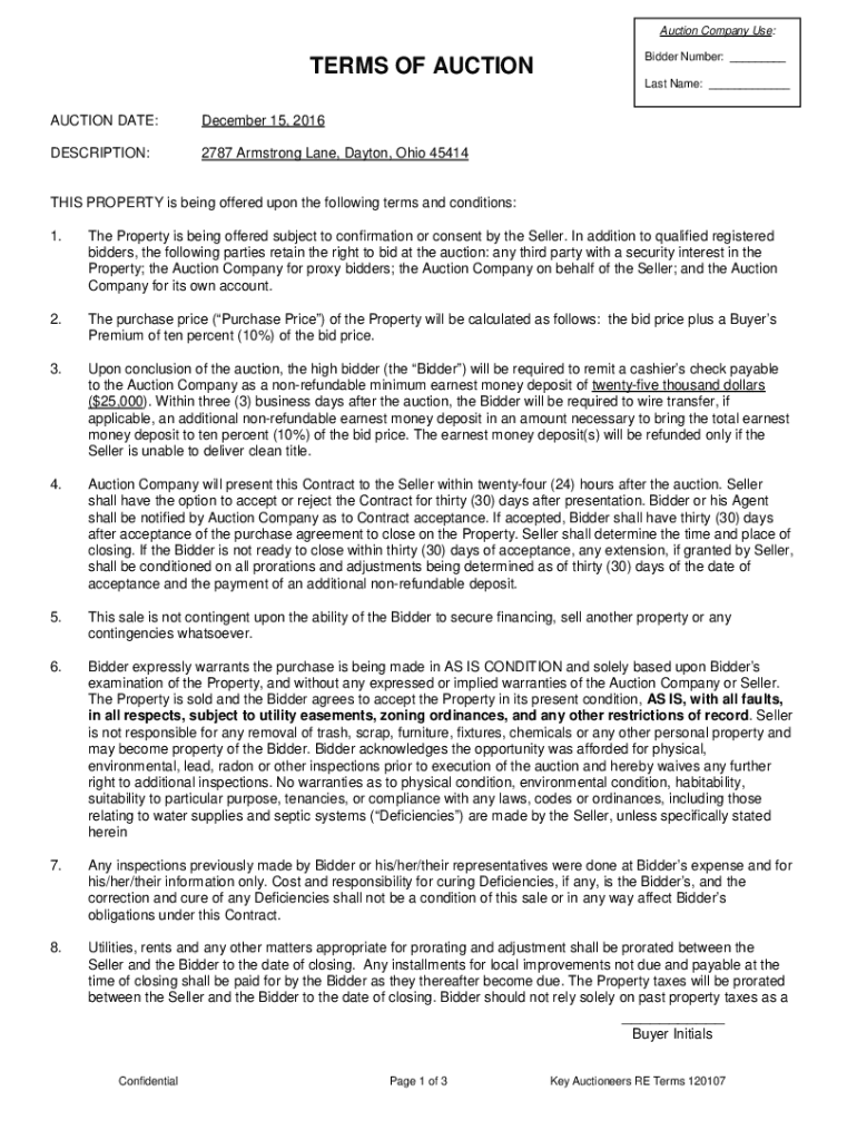
Auction Company Use:TERMS OF AUCTIONBidder Number: Last Name: AUCTION DATE:December 15, 2016DESCRIPTION:2787 Armstrong Lane, Dayton, Ohio 45414THIS PROPERTY is being offered upon the following terms
We are not affiliated with any brand or entity on this form
Get, Create, Make and Sign 1132016 general vehicles auction
Edit your 1132016 general vehicles auction form online
Type text, complete fillable fields, insert images, highlight or blackout data for discretion, add comments, and more.
Add your legally-binding signature
Draw or type your signature, upload a signature image, or capture it with your digital camera.
Share your form instantly
Email, fax, or share your 1132016 general vehicles auction form via URL. You can also download, print, or export forms to your preferred cloud storage service.
How to edit 1132016 general vehicles auction online
Use the instructions below to start using our professional PDF editor:
1
Create an account. Begin by choosing Start Free Trial and, if you are a new user, establish a profile.
2
Simply add a document. Select Add New from your Dashboard and import a file into the system by uploading it from your device or importing it via the cloud, online, or internal mail. Then click Begin editing.
3
Edit 1132016 general vehicles auction. Replace text, adding objects, rearranging pages, and more. Then select the Documents tab to combine, divide, lock or unlock the file.
4
Save your file. Select it in the list of your records. Then, move the cursor to the right toolbar and choose one of the available exporting methods: save it in multiple formats, download it as a PDF, send it by email, or store it in the cloud.
Uncompromising security for your PDF editing and eSignature needs
Your private information is safe with pdfFiller. We employ end-to-end encryption, secure cloud storage, and advanced access control to protect your documents and maintain regulatory compliance.
How to fill out 1132016 general vehicles auction
How to fill out 1132016 general vehicles auction
01
Step 1: Obtain a copy of the 1132016 general vehicles auction form.
02
Step 2: Fill in the necessary information, including your name, contact details, and any other required personal information.
03
Step 3: Provide details about the vehicles you wish to auction, such as their make, model, year, and condition.
04
Step 4: Clearly state the minimum bid or reserve price for each vehicle.
05
Step 5: Sign the form and submit it along with any supporting documents, such as vehicle registration papers or ownership proofs, if required.
06
Step 6: Remember to follow any additional instructions provided by the auction organizer or website.
07
Step 7: Attend the auction and participate in the bidding process if you are interested in purchasing a vehicle.
08
Step 8: If your vehicle is successfully sold, complete any required payment and documentation to transfer ownership.
Who needs 1132016 general vehicles auction?
01
Individuals or businesses who are interested in either buying or selling vehicles can participate in the 1132016 general vehicles auction.
02
Buyers can take advantage of the auction to potentially purchase vehicles at competitive prices.
03
Sellers can use the auction as a platform to sell their vehicles quickly and efficiently.
04
Government agencies, financial institutions, and vehicle fleet owners may also participate in the auction to dispose of their surplus or repossessed vehicles.
Fill
form
: Try Risk Free
For pdfFiller’s FAQs
Below is a list of the most common customer questions. If you can’t find an answer to your question, please don’t hesitate to reach out to us.
How can I edit 1132016 general vehicles auction from Google Drive?
Using pdfFiller with Google Docs allows you to create, amend, and sign documents straight from your Google Drive. The add-on turns your 1132016 general vehicles auction into a dynamic fillable form that you can manage and eSign from anywhere.
How do I execute 1132016 general vehicles auction online?
pdfFiller makes it easy to finish and sign 1132016 general vehicles auction online. It lets you make changes to original PDF content, highlight, black out, erase, and write text anywhere on a page, legally eSign your form, and more, all from one place. Create a free account and use the web to keep track of professional documents.
How do I edit 1132016 general vehicles auction in Chrome?
Adding the pdfFiller Google Chrome Extension to your web browser will allow you to start editing 1132016 general vehicles auction and other documents right away when you search for them on a Google page. People who use Chrome can use the service to make changes to their files while they are on the Chrome browser. pdfFiller lets you make fillable documents and make changes to existing PDFs from any internet-connected device.
What is 113 general vehicles auction?
The 113 general vehicles auction is a form used to report the auction of general vehicles, typically for tax or regulatory purposes.
Who is required to file 113 general vehicles auction?
Individuals or businesses that conduct auctions of general vehicles are required to file the 113 general vehicles auction.
How to fill out 113 general vehicles auction?
To fill out the 113 general vehicles auction, provide the necessary details such as the auction date, vehicle information, and seller and buyer details on the designated form.
What is the purpose of 113 general vehicles auction?
The purpose of the 113 general vehicles auction is to ensure compliance with local regulations regarding the sale and transfer of vehicle ownership during auctions.
What information must be reported on 113 general vehicles auction?
The information that must be reported includes the auction date, vehicle make and model, VIN, seller and buyer information, and final sale price.
Fill out your 1132016 general vehicles auction online with pdfFiller!
pdfFiller is an end-to-end solution for managing, creating, and editing documents and forms in the cloud. Save time and hassle by preparing your tax forms online.
1132016 General Vehicles Auction is not the form you're looking for?Search for another form here.
Relevant keywords
Related Forms
If you believe that this page should be taken down, please follow our DMCA take down process
here
.
This form may include fields for payment information. Data entered in these fields is not covered by PCI DSS compliance.