
Get the free Current Issues - Utah Division of Water Rights
Show details
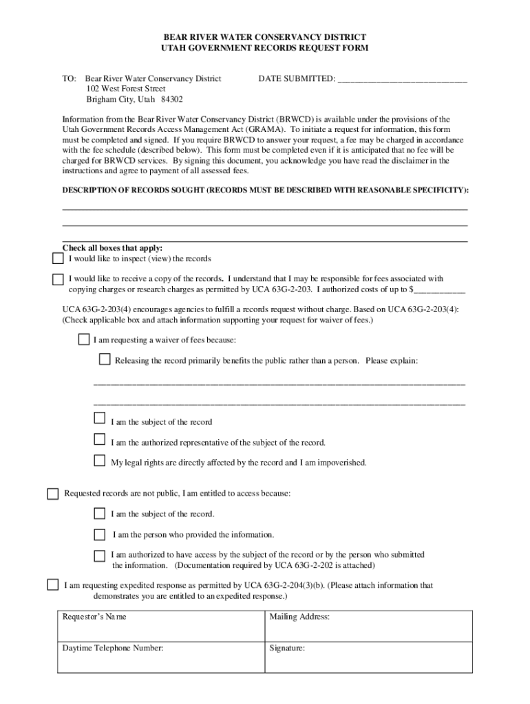
BEAR RIVER WATER CONSERVANCY DISTRICT UTAH GOVERNMENT RECORDS REQUEST FOR MTO: Bear River Water Conservancy District 102 West Forest Street Brigham City, Utah 84302DATE SUBMITTED: Information from
We are not affiliated with any brand or entity on this form
Get, Create, Make and Sign current issues - utah

Edit your current issues - utah form online
Type text, complete fillable fields, insert images, highlight or blackout data for discretion, add comments, and more.

Add your legally-binding signature
Draw or type your signature, upload a signature image, or capture it with your digital camera.

Share your form instantly
Email, fax, or share your current issues - utah form via URL. You can also download, print, or export forms to your preferred cloud storage service.
Editing current issues - utah online
To use the services of a skilled PDF editor, follow these steps:
1
Register the account. Begin by clicking Start Free Trial and create a profile if you are a new user.
2
Prepare a file. Use the Add New button to start a new project. Then, using your device, upload your file to the system by importing it from internal mail, the cloud, or adding its URL.
3
Edit current issues - utah. Rearrange and rotate pages, add new and changed texts, add new objects, and use other useful tools. When you're done, click Done. You can use the Documents tab to merge, split, lock, or unlock your files.
4
Save your file. Select it in the list of your records. Then, move the cursor to the right toolbar and choose one of the available exporting methods: save it in multiple formats, download it as a PDF, send it by email, or store it in the cloud.
With pdfFiller, dealing with documents is always straightforward. Now is the time to try it!
Uncompromising security for your PDF editing and eSignature needs
Your private information is safe with pdfFiller. We employ end-to-end encryption, secure cloud storage, and advanced access control to protect your documents and maintain regulatory compliance.
How to fill out current issues - utah

How to fill out current issues - utah
01
To fill out current issues in Utah, follow these steps:
02
Begin by gathering all the necessary information related to the current issues.
03
Visit the official website of the Utah government or relevant department to access the current issues form.
04
Read the instructions provided on the form carefully to understand the requirements and guidelines for filling it out.
05
Fill in your personal details such as name, address, contact information, etc.
06
Clearly state the current issue you are reporting, providing as much details and specifics as possible.
07
Include any supporting documents, evidence, or photographs related to the current issue, if applicable.
08
Review the filled-out form to ensure all information is accurate and complete.
09
Sign and date the form as required.
10
Submit the filled-out form either electronically through the website or via mail as instructed.
11
Keep a copy of the filled-out form for your records.
Who needs current issues - utah?
01
Anyone in Utah who encounters or becomes aware of current issues can benefit from filling out current issues forms.
02
This may include residents who want to report environmental concerns, infrastructure problems, public safety issues, or any other matters demanding attention from the relevant authorities.
03
Business owners or organizations may also need to submit current issues forms to address specific issues affecting their operations or the community.
04
By filling out these forms, individuals and entities can play an active role in addressing and resolving current issues in Utah.
Fill
form
: Try Risk Free
For pdfFiller’s FAQs
Below is a list of the most common customer questions. If you can’t find an answer to your question, please don’t hesitate to reach out to us.
How do I complete current issues - utah online?
pdfFiller has made it easy to fill out and sign current issues - utah. You can use the solution to change and move PDF content, add fields that can be filled in, and sign the document electronically. Start a free trial of pdfFiller, the best tool for editing and filling in documents.
How do I edit current issues - utah online?
With pdfFiller, you may not only alter the content but also rearrange the pages. Upload your current issues - utah and modify it with a few clicks. The editor lets you add photos, sticky notes, text boxes, and more to PDFs.
Can I edit current issues - utah on an Android device?
Yes, you can. With the pdfFiller mobile app for Android, you can edit, sign, and share current issues - utah on your mobile device from any location; only an internet connection is needed. Get the app and start to streamline your document workflow from anywhere.
What is current issues - utah?
Current issues in Utah refer to ongoing topics or challenges that are relevant to the state.
Who is required to file current issues - utah?
Individuals or organizations involved in activities related to current issues in Utah may be required to file reports.
How to fill out current issues - utah?
To fill out current issues in Utah, one may need to provide relevant information and details about the issue or topic.
What is the purpose of current issues - utah?
The purpose of reporting current issues in Utah is to provide transparency and accountability about important topics affecting the state.
What information must be reported on current issues - utah?
The information reported on current issues in Utah may include background information, current status, and potential impacts.
Fill out your current issues - utah online with pdfFiller!
pdfFiller is an end-to-end solution for managing, creating, and editing documents and forms in the cloud. Save time and hassle by preparing your tax forms online.

Current Issues - Utah is not the form you're looking for?Search for another form here.
Relevant keywords
If you believe that this page should be taken down, please follow our DMCA take down process
here
.
This form may include fields for payment information. Data entered in these fields is not covered by PCI DSS compliance.